高级搜索

留言板

尊敬的读者、作者、审稿人, 关于本刊的投稿、审稿、编辑和出版的任何问题, 您可以本页添加留言。我们将尽快给您答复。谢谢您的支持!

姓名
邮箱
手机号码
标题
留言内容
验证码
优先发表栏目展示本刊经同行评议确定正式录用的文章,这些文章目前处在编校过程,尚未确定卷期及页码,但可以根据DOI进行引用。本栏目内容尚未正式出版,未经编辑部许可,不得转载。
显示方式:
无信道先验信息的双天线非合作干扰抑制技术研究
严丞, 李彤, 潘文生, 段柏宇, 邵士海
当前状态:  doi: 10.11999/JEIT250378
[摘要](70) [HTML全文](24) [PDF 2996KB](10)
摘要:
在电子对抗中,己方通信信号极易受到敌方干扰。针对非合作干扰信号抑制,通常选择辅助天线来提取干扰信号样本,对受扰的通信信号进行干扰抑制,进而保证通信质量。但辅助天线可能同时收到干扰信号和通信信号,影响干扰信号样本的获取,降低干扰抑制能力。该文在非合作干扰场景下,提出了一种快速独立成分分析联合模拟退火最大化输出信干噪比的干扰抑制方法,该方法通过快速独立成分分析方法来估计信干噪比、模拟退火算法搜索重建系数、重建滤波器结合重建系数得到干扰抑制后信号。仿真和实验证明:当双天线的信干噪比差异较大,或通信信号和辅助信号各自到达双天线的信道相关性较弱时,所提方法具备更优异的干扰抑制性能。在双天线具有14.8 dB的信干噪比差时,该方法可实现34.4 dB的干扰抑制比。
面向智能电网信息物理融合攻击的建模、检测和防御理论与方法
王文婷, 田博彦, 吴法宗, 贺云鹏, 王鑫, 杨明, 冯冬芹
当前状态:  doi: 10.11999/JEIT250659
[摘要](179) [HTML全文](103) [PDF 859KB](25)
摘要:
智能电网(Smart Grid, SG)基于大量传感与检测单元,通过先进的网络通信、监测、调度与优化技术,显著提升了传统电网的管理和调节能力。然而,智能电网的开放性和互联性大幅提高的同时,也加剧了遭受恶意攻击的风险。特别是,攻击者可能通过同时干扰信息层和物理层的感知与决策过程,削弱系统的控制和恢复能力。以往研究通常根据攻击的对象或类型进行分类,而该文提出了一种涵盖智能电网主要组件和通信链路的综合性架构,从整体性的抽象视角对涉及智能电网组件的多种攻击类型进行系统性的信息物理风险评估。此外,该文还从多个角度探讨了智能电网中信息物理融合攻击的检测与防御问题。最后,基于现有的研究进展和趋势,该文对未来智能电网信息物理安全的研究方向进行了讨论与展望。
基于轨道角动量的无线供能NOMA通信系统设计与优化
陈瑞瑞, 陈雨, 冉佳乐, 孙彦景, 李松
当前状态:  doi: 10.11999/JEIT250634
[摘要](99) [HTML全文](37) [PDF 1554KB](17)
摘要:
视距信道是实现高效无线供能NOMA通信的必要条件,然而其强相关性将严重限制空间自由度,导致传统空间复用技术难以获得容量增益。利用新维度的轨道角动量(Orbital Angular Momentum, OAM),该文设计了基于OAM的无线供能NOMA通信系统,其可以通过模态复用独立传输多路信息从而在视距信道下显著提高通信容量。通过转化收集能量为信息上传的可实现容量,该文在通信容量和收集能量的阈值约束下构建了系统的总容量最大化问题。然后,将系统总容量最大化问题分解为两个子问题,推导了最优功率分割因子的闭式表达式,并利用次梯度方法获得了最优的功率分配。仿真结果表明,与传统无线通信系统相比,所提出的基于OAM的无线供能NOMA通信系统能够有效提高容量性能。
基于潮涌卷积神经网络的说话人确认
陈晨, 仪志鑫, 李东源, 陈德运
当前状态:  doi: 10.11999/JEIT250713
[摘要](54) [HTML全文](21) [PDF 2580KB](2)
摘要:
近年来,最先进的说话人确认模型大多数以牺牲参数量和计算量的代价来实现感受野的固定获取,鉴于语音信号内部蕴含着丰富且多层次的信息,然而通过高度自主选择的动态感受野来描绘复杂信息是相对未被探索的,更没有直观的解释是什么构成了关于有效感受野的最佳实践。潮涌现象表现为潮水前端形成陡立水墙并伴随轰鸣声高速推进,受其非线性耦合行为的启发,该文提出潮涌卷积(TR-Conv)“使用潮涌感受野(T-RRF),获得更有效感受野”。首先采用二幂插值操作构建窗口内的主/从感受野,随后分别采用扫描-池化机制聚焦提取窗口外的关键信息、算子机制精细感知窗口内的差异信息,最后融合三重感受野,得到兼具多尺度、动态性、有效性的可变感受野。为全面验证潮涌卷积的表现,该文建立潮涌卷积神经网络(TR-CNN)。另外,针对数据集的错误标签问题,提出动态归一化的非目标(NTDN)损失与具有两个子中心的加性角边距(Sub-Center AAM)损失变体加权融合的总损失,以提升模型性能。实验结果表明,与ECAPA-TDNN(C=512)相比,TR-CNN(C=512, n=1)分别在测试集Vox1-O,Vox1-E,Vox1-H上的等错误率(EER)和最小检测代价函数(MinDCF)相对降低了4.95%,31.55%,4.03%,17.14%和6.03%,17.42%,参数量和乘加累积操作次数相对减少了32.7%,23.5%。进一步,TR-CNN(C=1024, n=1)的EER/MinDCF分别是0.85%,0.0762,1.10%,0.1048,2.05%,0.1739。本研究代码已开源:https://www.scidb.cn/detail?dataSetId=a232c98b082941c58002958208ef3f43&version=V1&code=j00173
基于光量子传输距离矩阵构建的动态目标定位方法
周牧, 王敏, 曹静阳, 何维
当前状态:  doi: 10.11999/JEIT250020
[摘要](83) [HTML全文](35) [PDF 5414KB](6)
摘要:
利用纠缠态光量子的时间关联特性能够实现对目标的精确定位,但现有量子定位算法主要针对相对静止目标,难以适用于动态目标。该文提出一种基于光量子传输距离矩阵构建的动态目标定位方法,以实现对运动目标的高精度定位。首先,通过对量子回波信号进行分析,结合符合计数结果估计背景噪声,优化检测阈值,实现了高灵敏度的目标检测。其次,利用速度测量矩阵进行自适应光量子分组,以提升定位系统的精确度。最后,通过构建光量子传输距离矩阵,求解光源坐标、目标位置与光量子传输距离的方程组,实现了动态目标位置估计。实测结果表明,该文方法实现了对动态目标的高精度定位,定位误差为厘米级,该方法定位误差在0.06 m内的置信概率达85%,相较于现有光量子定位方法的置信概率提高了69%,相较于传统单光子激光雷达动态目标定位方法提高了31%。
禁飞区约束下的无人机可重构智能表面辅助通信网络性能优化
徐俊杰, 李斌, 杨敬松
当前状态:  doi: 10.11999/JEIT250681
[摘要](138) [HTML全文](86) [PDF 4102KB](20)
摘要:
在无人机(UAV)辅助通信网络的实际部署中,禁飞区(NFZs)会收缩可行空域并迫使无人机绕行,致使路径损耗加剧,从而引发通信性能下降。为恢复并增强覆盖,该文将可重构智能表面(RIS)集成于无人机平台并实施协同相位控制以构建可编程反射链路。然而,可重构智能表面的指向性增益对无人机姿态高度敏感,进而影响系统性能。为此,该文提出一种无人机搭载可重构智能表面的新型通信框架,考虑到多禁飞区环境,通过联合优化无人机轨迹、可重构智能表面相移、无人机姿态和基站波束赋形,建立通信速率最大化问题,并提出基于积分路径的完全规避禁飞区方案,在严格绕行禁飞区的同时保障禁飞区内外用户的通信。鉴于该优化问题具有高度复杂性,该文将其构建为马尔可夫决策(MDP)过程,并提出基于软演员-评论家的深度强化学习算法进行求解。仿真结果表明,在保证完全绕行禁飞区的同时,所提方法能够显著提升通信速率,并在可扩展性与稳定性方面优于基线方案。
多步随机观测滞后和丢包系统极大极小鲁棒Kalman滤波
杨春山, 赵颖, 刘政, 丘源, 经本钦
当前状态:  doi: 10.11999/JEIT250741
[摘要](48) [HTML全文](21) [PDF 2768KB](11)
摘要:
该文研究了多步随机观测滞后和丢包系统的极大极小鲁棒Kalman滤波问题。系统噪声方差不确定但有已知保守上界,传感器到估值器的多步随机观测滞后和丢包通过一组概率已知的伯努利分布随机变量描述。利用哈达玛乘积改进模型转换方法,设计了极大极小鲁棒时变Kalman估值器。利用矩阵初等变换、盖尔圆盘定理和哈达玛乘积定理证明了广义李雅普诺夫方程解的半正定性,进而应用矩阵分解和李雅普诺夫方程方法证明了所设计估值器的鲁棒性,即对所有容许的不确定性,确保实际估计误差方差有最小上界。给出时变广义李雅普诺夫方程存在稳态唯一半正定解的条件,进而设计了鲁棒稳态估值器。证明了时变和稳态估值器的按实现收敛性。仿真实例验证了其有效性。
短包安全隐蔽通信设计与优化
田波, 杨炜伟, 沙力, 尚志会, 曹阔, 刘长明
当前状态:  doi: 10.11999/JEIT250800
[摘要](105) [HTML全文](59) [PDF 1597KB](20)
摘要:
针对短包多输入单输出(MISO)通信系统中面临窃听与检测双重安全威胁的问题,该文提出一种短包安全隐蔽通信设计与优化方案,分析了系统的隐蔽性能和物理层安全性能,在此基础上,提出衡量系统安全隐蔽性能的平均有效安全隐蔽速率(AESCR),该指标统一量化了系统隐蔽性、保密性和可靠性,且主要受包长和发射功率影响。构建了最大化AESCR的双变量优化问题并求解。仿真结果表明,所提方案与优化发射功率的基准方案相比,可以有效提高系统中的AESCR;系统AESCR随发射天线数单调递增,且存在最优包长权衡传输效率与隐蔽性。
状态更新卫星物联网中基于联盟形成博弈的用户组网方法
高志祥, 刘爱军, 韩晨, 张森柏, 林鑫
当前状态:  doi: 10.11999/JEIT250838
[摘要](48) [HTML全文](21) [PDF 2055KB](4)
摘要:
状态更新是卫星物联网(S-IoT)的重要场景。该文研究了状态更新S-IoT中基于基站辅助的用户组网问题。首先,建立了地面用户经基站向卫星网络传输的双层正交接入状态更新模型,并分析推导了地面用户的平均信息年龄(aAoI)的闭合表达式和高信噪比下的渐进表达式。其次,基于联盟形成博弈(CFG),提出一种双层CFG用户-基站-卫星组网算法。接着,利用精确势能博弈,证明了所提博弈算法具有纳什均衡解,能够形成稳定的基站-用户-卫星网络。最后,仿真结果表明,aAoI的理论分析的正确性以及所提算法的较传统算法的性能提升。
面向山地森林区域的植被高度预测数据集
余翠琳, 钟梓炫, 庞弘毅, 丁煜晟, 赖涛, 黄海风, 王青松
当前状态:  doi: 10.11999/JEIT250941
[摘要](64) [HTML全文](33) [PDF 6680KB](7)
摘要:
植被高度是刻画森林垂直结构、碳储量和生态系统功能的重要参数,在生态学、气候变化和生物地理等领域具有广泛应用。随着人工智能尤其是大模型技术的发展,森林生态研究对大规模、标准化训练数据的需求愈加迫切。然而,目前公开数据仍缺乏覆盖广区域、统一规范的林冠高度预测数据集,限制了先进智能方法的应用。为此,该文构建了面向山地森林区域的植被高度预测数据集(VHP-Dataset),融合多光谱遥感影像、数字高程模型(DEM)、植被覆盖度和覆盖类型等多源数据,以全球生态系统动力学调查(GEDI)冠层高度为目标变量,形成18维输入特征。该文介绍了数据集的构建流程,并通过空间分布、模型验证和特征重要性分析等实验进行评估。结果表明,VHP-Dataset能够有效支持监督学习建模,在多地貌、多区域的植被高度预测中展现出良好的科学性与适用性,为森林结构反演提供了标准化训练样本支撑。
DeepSeek-V3.1和ChatGPT-5在结直肠癌肝转移多学科团队诊疗中的应用比较
张扬子, 许婷, 高兆亚, 司振铎, 徐蔚然
当前状态:  doi: 10.11999/JEIT250849
[摘要](69) [HTML全文](29) [PDF 787KB](7)
摘要:
该文旨在比较DeepSeek-V3.1与ChatGPT-5在结直肠癌肝转移(CRLM)多学科团队(MDT)决策中的应用表现,评估其与MDT专家意见的一致性,为大语言模型(LLMs)的临床实践提供循证依据与优化方向。该文基于真实世界数据与最新指南,设计了6例涵盖不同肿瘤负荷、基因突变谱和体能状态的虚拟CRLM病例,通过结构化的提示策略,在DeepSeek-V3.1与ChatGPT-5模型中分别生成MDT治疗建议。由4名MDT专家采用7维度5级李克特量表对模型输出进行独立评审。并通过统计学分析对两款模型在各个病例、各项维度和各个学科的表现分别进行比较。2款大语言模型在所有病例中的综合得分均≥ 4.0分(满分5分),表明其在复杂的MDT决策场景下具备可接受的临床效能。在跨维度分析中,两者在清晰度、个体化程度、抗幻觉能力和伦理安全4项上得分较高,而在准确性、全面性和前沿性方面仍有一定提升空间。DeepSeek-V3.1在整体表现(4.27±0.77 vs 4.08±0.86)、前沿性(3.90±0.65 vs 3.24±0.72)与伦理安全(4.87±0.34 vs 4.58±0.65)方面显著优于ChatGPT-5(P<0.05);在放疗领域亦明显领先(4.55±0.67 vs 3.38±0.91, P<0.01)。ChatGPT-5则在胃肠外科领域表现优于DeepSeek-V3.1(4.48±0.67 vs 4.17±0.85, P =0.02)。DeepSeek-V3.1与ChatGPT-5均表现出为CRLM-MDT决策提供可靠建议的良好能力。其中,DeepSeek-V3.1在前沿知识整合、伦理安全性及放射肿瘤学领域展现出显著优势,而ChatGPT-5则在胃肠外科方面表现更优,二者形成优势互补。该文证实了大型语言模型作为“MDT协作者”的可行性,为缩小地域间诊疗水平差距、提升临床决策效率提供了一项便捷可靠的技术方案。
融合预训练音频大模型与密度估计的水轮发电机组声学无监督异常检测
武亭, 闻疏琳, 阎兆立, 付高原, 李林峰, 刘绪都, 程晓斌, 杨军
当前状态:  doi: 10.11999/JEIT250934
[摘要](75) [HTML全文](27) [PDF 16618KB](12)
摘要:
水轮发电机组作为水电站的核心动力设备,其安全稳定运行对于整个水电站具有重要意义。近年来,非接触式声学测量作为一种有效的检测手段受到广泛关注,然而水轮发电机组的实际运行的异常声信号难以采集,传统异常检测方法及基于监督学习的分类策略在该领域的应用受到限制。针对上述挑战,该文提出一种预训练音频大模型与密度估计k近邻(k-NN)的水轮发电机声学无监督异常检测方法。首先验证了预训练音频模型提取的通用音频特征在异常检测中的有效性;随后设计了一种融合注意力统计池化与warm-up的参数微调策略,实现模型的迁移优化,在推理阶段设计了一种密度估计的k近邻实现鲁棒的距离度量。实验结果表明,该方法在风洞环境达到了98.7%的多指标调和平均数,在滑环室则高达99.9%,为水电站的声学异常检测提供了切实可行且性能优异的解决方案。
航天器自主远距离快速抵近的近端策略优化研究
林政, 胡海鹰, 邸鹏, 朱永生, 周美江
当前状态:  doi: 10.11999/JEIT250844
[摘要](5) [HTML全文](2) [PDF 3092KB](0)
摘要:
在考虑地球扁率J2摄动的影响下,文中针对限定携带燃料和限定转移时间下的异面轨道航天器远距离快速转移的最省燃料轨迹优化问题,基于近端策略优化(Proximal Policy Optimization, PPO)设计脉冲机动的时长与脉冲增量大小,实现最省燃料消耗的转移轨迹设计。首先构筑J2摄动下航天器转移变轨的动力学模型,并进行航天器在轨运行中的不确定性分析,其次,将问题转化为最优控制问题,并建立强化学习训练框架;此后,设计基于过程约束和终端约束的合适的奖励函数,提高算法的探索能力和训练过程的稳定性;最后,在该强化学习框架下进行训练得到模型,生成变轨机动策略,并通过仿真并进行对比实验验证算法性能。相较已有DRL方法,文中设计的改进型密集奖励函数结合位置势函数与速度引导机制,显著提升了算法的收敛速度、鲁棒性与燃料优化性能,仿真结果表明,该方法能够很好的生成策略并达到预期抵近要求。
面向图像恢复任务的语义通信网络能耗优化
陈阳, 马欢, 姬智, 李英奇, 梁佳宇, 郭兰
当前状态:  doi: 10.11999/JEIT250915
[摘要](5) [HTML全文](3) [PDF 4932KB](0)
摘要:
针对语义通信网络在图像恢复任务中计算和传输能耗过高的问题,该文提出一种改进型多智能体近端策略优化算法驱动的网络能耗优化策略,以在保障任务性能的同时最小化网络总能耗。首先,量化分析了语义提取率、发射功率、计算资源与网络能耗间的耦合关系。随后,构建以小区总能耗最小化为目标,同时满足时延、图像恢复质量等多维约束的优化模型。最后,设计改进型多智能体近端策略优化算法对该模型进行求解。仿真结果表明,与基准算法相比,该文所提算法在维持相当能耗水平的同时,训练收敛速度提升66.7%-80%,网络能耗和用户时延稳定性显著提升,并能有效降低平均误符号率。
可微稀疏掩膜引导的红外小目标快速检测网络
盛卫东, 吴双林, 肖超, 龙云利, 李晓斌, 张一鸣
当前状态:  doi: 10.11999/JEIT250989
[摘要](38) [HTML全文](12) [PDF 3515KB](8)
摘要:
红外小目标检测在遥感探测、红外制导、环境监测等领域具有不可替代的应用价值,其核心挑战在于目标像素占比极小(目标尺寸通常小于9×9)、空间特征稀疏且易被复杂背景杂波淹没。现有红外小目标方法或依赖手工设计的背景抑制算子,难以适应复杂场景;或采用密集卷积神经网络,未充分考虑目标背景占比极不均衡导致的计算冗余。基于目标稀疏先验,本文提出一种可微稀疏掩膜引导的红外小目标快速检测网络。首先,设计可微稀疏掩膜生成模块作为预处理,输出目标候选区域的二值掩码,实现对目标的粗检测,并过滤大量背景冗余信息;其次,基于Minkowski Engine稀疏卷积构建稀疏特征提取模块,仅对二值掩码中的非零目标区域进行稀疏卷积运算,实现对目标候选区域的精细化处理;最后,通过金字塔池化模块进行多尺度特征融合,并将融合后的特征送入目标-背景二分类器输出最终检测结果。为验证方法有效性,在NUDT-SIRST与NUAA-SIRST两大主流红外小目标数据集上进行实验,实验结果表明,所提方法实现了在检测性能相当的情况下,实现了检测效率的极大改善,验证了所提方法的有效性。
2025 年 11 期封面
2025, 47(11).  
[摘要](4) [HTML全文](3) [PDF 2027KB](2)
摘要:
2025 年 11 期目次
2025, 47(11): 1-6.  
[摘要](4) [HTML全文](4) [PDF 319KB](2)
摘要:
卓越领军专栏
混合专家大语言模型的系统与架构优化技术综述
王泽昊, 朱振华, 谢童欣, 汪玉
2025, 47(11): 4055-4078.   doi: 10.11999/JEIT250407
[摘要](1045) [HTML全文](533) [PDF 5876KB](294)
摘要:
混合专家已经成为当前进一步提升大语言模型推理能力的重要方法。当下,受限于算力与显存,通过扩大稠密大语言模型参数规模来提高模型推理能力的方法已经陷入瓶颈,即全参数激活带来了严重的显存与算力不足问题。混合专家机制通过构建由多个专家子网络组成的分布“知识库”,在提升大语言模型参数规模的同时,通过路由函数动态选择专家子网络来控制单次推理计算总量。然而,这种动态专家选择机制带来了显著的资源管理和调度问题,需要在加速系统和硬件架构层面有针对性地开展优化。该文将聚焦于混合专家大语言模型部署的系统与架构层:首先,概述了混合专家大模型的定义和发展趋势;之后,详细介绍了现有混合专家大语言模型的系统与架构优化技术并深入分析;最后,该文对混合专家大模型的优化技术进行总结和展望。
综述评论
探地雷达杂波抑制技术研究综述:机理、方法与挑战
雷文太, 王以明, 钟继卫, 徐齐国, 姜玉印, 李成
2025, 47(11): 4079-4095.   doi: 10.11999/JEIT250524
[摘要](323) [HTML全文](137) [PDF 3397KB](54)
摘要:
探地雷达(GPR)因其无损、快速、高分辨的检测能力广泛应用于城市地下空间、公路铁路轨道交通、地球物理探测和军事等领域。然而,由于收发天线的宽频带和宽波束特性,以及复杂探测场景中的感兴趣目标受到的非均匀背景媒质和临近目标的影响,探地雷达回波中无可避免地包含了相当多成分的杂波信号。杂波信号与感兴趣目标的回波信号在时频域部分重叠,对其产生干扰,严重影响了后续的目标定位、成像、参数估计、结构反演和分类识别等任务。在探地雷达数据处理中,通常需要先进行杂波抑制工作。该文是对冲激脉冲体制探地雷达杂波抑制方法的综述,分析了冲激脉冲体制探地雷达的各典型杂波的成因和杂波抑制效果评估的定量指标,对基于信号模型的杂波抑制和基于神经网络模型的杂波抑制这两大类方法进行了系统的分析和阐述。最后,讨论了将深度学习技术应用于探地雷达杂波抑制时面临的挑战和未来的发展方向。
深度学习使能的自动调制分类技术研究进展
郑庆河, 李秉霖, 于治国, 姜蔚蔚, 朱政宇, 许驰, 黄崇文, 桂冠
2025, 47(11): 4096-4111.   doi: 10.11999/JEIT250674
[摘要](246) [HTML全文](138) [PDF 3939KB](58)
摘要:
随着第六代无线通信系统向太赫兹频段以及空天地海一体化网络发展,通信环境呈现出高度异构化和超密集化的趋势,对自动调制识别技术提出了亚符号周期级别的精度要求。在复杂信道条件下,自动调制识别技术面临着时变多径信道引起的特征混叠、低信噪比环境下传统方法识别性能衰减以及稀疏码多址技术引发的混合调制信号检测复杂性提升等多重挑战。基于上述技术难题,该文从通信系统的信号传输特性出发,探讨自动调制分类方法设计的关键约束,系统回顾了深度学习使能的自动调制分类技术,综述了不同应用场景下自动调制分类方法面临的挑战,对经典深度学习模型进行了性能评估,最后概述了自动调制分类存在的问题及未来关键研究方向。
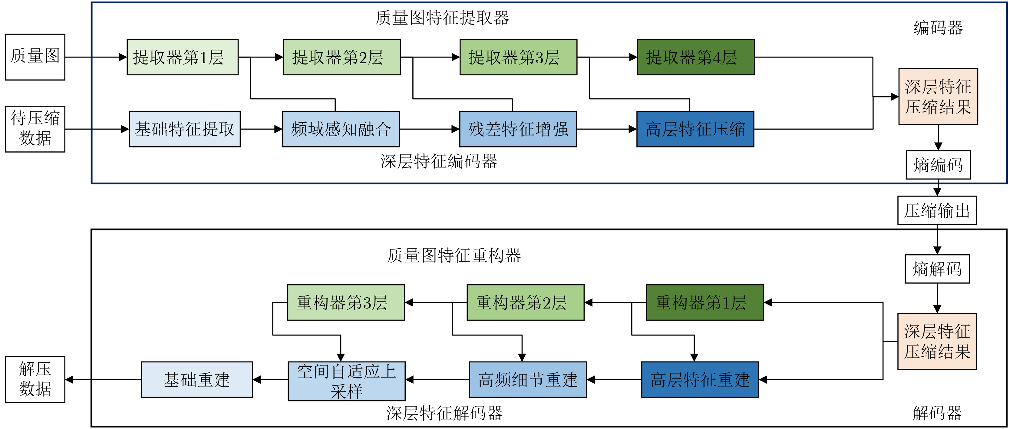
深度神经网络图像压缩方法进展综述
柏园超, 刘文昌, 江俊君, 刘贤明
2025, 47(11): 4112-4128.   doi: 10.11999/JEIT250567
[摘要](486) [HTML全文](271) [PDF 7384KB](99)
摘要:
深度神经网络图像压缩方法凭借其强大的建模能力与端到端优化机制,在信号保真、人眼感知和机器分析等多个维度展现出超越传统编码方法的优势。该文系统地梳理了该领域的最新研究进展,从3个核心方向展开综述:在面向信号保真的压缩方面,介绍了经典的码率-失真优化模型,并深入探讨了有损压缩的关键组件,包括非线性变换、量化策略和熵编码机制,以及支持多码率输出的可变码率压缩技术。在面向人眼感知的压缩方面,重点分析了码率-失真-感知联合优化框架,并对比了基于生成对抗网络和扩散模型的感知驱动方法。在面向机器分析的压缩方面,阐述了码率-失真-失准协同建模范式,并结合语义保真优化目标与架构设计进行了系统归纳。最后,文章对现有研究成果进行了总结,并展望了未来仍需解决的技术挑战与发展方向。
近场通信物理层安全技术综述
徐勇军, 李晶, 骆东鑫, 王骥, 李兴旺, 杨龙, 陈莉
2025, 47(11): 4129-4143.   doi: 10.11999/JEIT250336
[摘要](382) [HTML全文](208) [PDF 5806KB](68)
摘要:
近场通信作为未来移动通信的关键方向,凭借其低时延及高精度定位等特性,成为6G网络演进的重要支撑。针对现有物理层安全技术仍集中在远场通信,该文系统梳理了6G近场通信物理层安全的研究进展,深入分析其核心技术与挑战。首先,阐述了近场通信的信道特性及与远场的本质区别,介绍了近场通信的体系架构,提出保密容量、保密速率等物理层关键性能指标。其次,针对不同目标与传输环境,总结了基于波束聚焦、人工噪声及多技术融合的物理层安全技术。再次,进一步探讨了视距、非视距及混合远近场环境下的安全传输策略。然后,指出复杂信道建模、安全与性能平衡及多网融合抗干扰等未来挑战。最后,对近场通信物理层安全的未来研究方向进行了展望,对推动近场通信物理层安全发展及标准化具有重要参考价值。
无线通信与物联网
大范围多径时延扩展信道实时模拟的高效存储方法
李维实, 周辉, 焦逊, 徐强, 唐友喜
2025, 47(11): 4144-4152.   doi: 10.11999/JEIT250525
[摘要](116) [HTML全文](68) [PDF 4898KB](3)
摘要:
随着空中平台向通信与感知一体化、成像和环境重构等复杂无线场景的快速发展,对大范围多径时延扩展信道的实时模拟提出了更高要求。现有实时信道模拟方法在处理大范围多径时延扩展信道时,面临硬件存储资源需求急剧膨胀的挑战。针对这一问题,该文提出一种基于动态约束建模的优化稀疏抽头延迟线算法。该算法通过深入分析抽头间的时延依赖关系,精确建立存储器资源占用、所需模拟多径数量与可模拟的多径时延扩展范围三者之间的解析约束关系模型,从而实现了目标性能约束下的资源需求量化设计。理论分析和仿真结果表明,相较于现有算法,所提算法在确保多径时延扩展范围精确模拟的同时,在典型配置下存储空间占用可减少50%以上。这一成果为大范围多径时延扩展实时信道模拟系统设计提供了关键技术支撑。
无人机辅助的铁路无线传感网智能数据收集与计算卸载方法
闫莉, 王俊凯, 方旭明, 蔺伟, 梁轶群
2025, 47(11): 4153-4165.   doi: 10.11999/JEIT250340
[摘要](225) [HTML全文](127) [PDF 4205KB](17)
摘要:
针对铁路复杂环境运维时无线传感网存在监测点网络信号差、传感器更换电池难及监测数据计算量大等挑战,该文提出一种多无人机辅助的铁路无线传感网智能数据收集与计算任务卸载方法。为保障铁路运营安全,方案考虑了铁路安全保护区对无人机飞行的限制,并对不同类型无线传感业务进行优先级划分,优先保障安全型传感业务传输性能,利用基站与列车的可用计算资源进行传感数据计算处理,设计了基于多智能体软演员-评论家(MASAC)深度强化学习算法的多无人机飞行轨迹与数据卸载决策联合优化,实现无人机能耗、无线传感网能耗以及数据信息年龄的加权和最小化。仿真结果表明,所提算法能够显著提升系统整体能耗和数据信息新鲜度性能。
近场ISAC多用户安全通信波束设计
邓志祥, 张志威
2025, 47(11): 4166-4175.   doi: 10.11999/JEIT250462
[摘要](192) [HTML全文](72) [PDF 3101KB](35)
摘要:
该文研究了近场通感一体化系统(ISAC)中多用户安全波束设计问题,其中多个单天线通信用户和一个雷达感知目标都位于发射机的近场区域内,雷达目标作为潜在窃听者,可能从联合波束中获取通信信息。为保证系统通信安全性和感知精度,该文以多用户可达安全和速率最大化为目标、以基站发射功率和感知性能为约束条件,构建了通信信号与雷达感知信号波束形成向量的联合优化模型。其中,雷达感知信号间兼具双重功能:一方面作为人工噪声,干扰窃听者对合法通信用户信息的解码;另一方面用于实现对目标的感知,其感知性能通过克拉美罗界(CRB)进行量化。为解决该多变量的非凸优化问题,该文提出了基于半正定松弛(SDR)和加权最小均方误差(WMMSE)的优化算法求解该优化问题。仿真结果表明近场模型所提供的距离自由度,以及引入人工噪声信号,能够为多用户ISAC通信安全带来性能增益。
参数化全息MIMO信道建模及其贝叶斯估计
袁正道, 郭亚博, 高大伟, 郭庆华, 黄崇文, 廖桂生
2025, 47(11): 4176-4187.   doi: 10.11999/JEIT250436
[摘要](190) [HTML全文](115) [PDF 2374KB](17)
摘要:
全息多输入多输出(HMIMO)技术因其高空间复用效率和信道容量被视为6G通信系统的关键技术之一,但电磁传播模型复杂、用户角度随机给电磁信道建模和估计带来较大困难。现有方法依赖简化假设或统计模型,存在模型失配问题,且难以同时解耦信道、位置与角度。针对上述挑战,该文提出一种融合神经网络、凸优化和因子图的混合信道建模与估计方法,该方法首先学习信道与坐标的非线性映射关系,构建参数化信道模型;其次基于欧拉角旋转理论描述用户角度,并将其嵌入因子图实现信道、坐标及角度的全局建模;最后利用消息传递算法完成参数联合解耦与信道估计。仿真结果表明,所提方法的信道估计误差较现有近似方法降低3 dB以上。该研究突破了现有方法对天线平行假设的依赖,为复杂电磁环境下的高精度信道估计与位置感知提供了新的解决方案。
利用多类不均衡数据局部分布特征的自适应过采样算法
陶新民, 徐安南, 史丽航, 李俊轩, 郭心悦, 张艳萍
2025, 47(11): 4188-4199.   doi: 10.11999/JEIT250381
[摘要](125) [HTML全文](80) [PDF 6009KB](8)
摘要:
不均衡数据集除数据不均衡外还存在类重叠、小析取、离群点、低密度等复杂因素,这些因素会导致分类器性能进一步下降,尤其是在处理多类不均衡数据分类问题时。鉴于此,该文提出一种基于多类不均衡数据局部分布特征的自适应过采样算法(MC-LDWO)。该算法首先以动态确定的所有少数类为球心,构建半径依赖于当前少数类分布的超球体。然后,基于超球体内样本分布选择参与过采样的少数类样本,并利用各类别局部密度指标设计自适应权重分配策略,确保低密度区域和边界附近的样本有更高的过采样概率。随后,根据组合多数类和少数类的局部分布信息计算低密度向量,引入随机向量并设置截断阈值以确定合成样本的生成位置。最后,利用优化后的特定分解策略解决多类不均衡数据分类问题。多个数据集上的实验结果表明,MC-LDWO在各类评估指标上显著优于其他对比算法,验证了其处理具有复杂因素多类不均衡数据分类问题的有效性。
无人机通信多模抗干扰:融合二维迁移强化学习的协同决策方法
王诗雨, 汪西明, 可臻怡, 刘典雄, 刘继泽, 杜智勇
2025, 47(11): 4200-4210.   doi: 10.11999/JEIT250566
[摘要](312) [HTML全文](227) [PDF 3743KB](25)
摘要:
针对无人机(UAV)在复杂电磁环境下通信易受干扰攻击的问题,该文提出一种多模式协同抗干扰架构。通过融合智能跳频(IFH)、基于干扰的反向散射通信(JBC)与能量采集(EH)技术,构建“规避-利用-转化”三位一体的防御体系,并设计二维迁移学习机制解决资源受限平台的实时决策难题。在任务维度建立模式间策略共享网络,提取决策共性特征并设计平行深度Q学习网络(DQN)进行策略学习,在抗干扰模式维度通过历史经验复用加速在线学习。仿真结果表明,该文所提方案较传统深度强化学习算法收敛速度提升64%,在动态干扰环境下通信中断概率始终低于20%。通过合理选择抗干扰模式与信道,系统在不同干扰模式下仍能维持高效通信,实现抗干扰性能与能耗的最优均衡。
高动态场景下双模辅助索引调制的正交线性调频分复用系统
宁晓燕, 唐子涵, 尹巧灵, 王诗涵
2025, 47(11): 4211-4219.   doi: 10.11999/JEIT250475
[摘要](123) [HTML全文](48) [PDF 3429KB](13)
摘要:
基于索引调制的正交线性调频分复用系统(OCDM-IM)要求部分子载波保持静默状态,这一方面削弱了正交线性调频分复用系统(OCDM)的时频扩展增益,导致OCDM-IM系统在高动态场景下受多普勒频移的影响仍然较为严重;另一方面,静默的子载波不携带传输信息,造成了吞吐量的损失。针对以上问题,该文提出一种新型的双模辅助索引调制的OCDM通信系统架构(DM-OCDM-IM)。该系统在OCDM系统的基础上,引入双模索引映射方案,拓展调制维度,既保留了OCDM系统在高动态场景下时频二维扩展抗干扰能力的核心优势,又实现了低阶星座调制下的高频谱效率。为了降低接收端复杂度,提出利用离散菲涅尔变换(DFnT)的特征分解来简化DM-OCDM-IM系统数字信号处理的接收算法。仿真结果表明,与现有的双模辅助索引调制的OFDM系统(DM-OFDM-IM)相比,所提的DM-OCDM-IM系统具有更强的抗多径衰落和抗多普勒频移的能力;与OCDM-IM系统相比,所提的DM-OCDM-IM系统提高了频谱效率的同时,仍然具有更强的抗衰落能力。
HRIS辅助的分层稀疏重构混合远近场源定位算法
杨青青, 蒲雪莱, 彭艺, 李辉, 杨秋萍
2025, 47(11): 4220-4230.   doi: 10.11999/JEIT250429
[摘要](73) [HTML全文](40) [PDF 2514KB](15)
摘要:
随着可重构智能超表面(RIS)技术的引入,更大的RIS阵列和更高的工作频率扩大了近场通信区域,而基于RIS的辅助定位技术也受到了极大关注。由于近场定位与传统的远场通信属于异构定位网络,其混合定位依赖于远场与近场通信系统网络融合的定位估计算法实现。因此,该文提出一种融合分层稀疏重构与4阶累积量(FOC)矩阵的混合场定位算法,通过引入混合型RIS(HRIS)架构捕获用户信号,有效解决了多跳信道累积误差的问题。该算法利用3组FOC矩阵,将二维角度谱搜索简化为两个一维谱搜索,分阶段实现仰角、方位角和距离参数的估计。在各阶段参数估计过程中结合分层稀疏字典与动态调谐因子衰减机制,逐层逼近真实参数,以进一步降低算法复杂度。仿真结果表明,在低信噪比与小快拍条件下,该文方法在大多数典型混合场景下,角度与距离估计的均方根误差(RMSE)均优于双阶段多重信号分类(TSMUSIC)算法与混合正交匹配追踪(OMP)算法以及基于全息多输入多输出(HMIMO)系统的混合场定位算法,同时展现出更强的抗噪性能与更低的计算开销,验证了其在复杂混合场场景下的有效性与鲁棒性。
超大规模可重构智能表面混合远-近场信道估计
邵凯, 花凡玉, 王光宇
2025, 47(11): 4231-4241.   doi: 10.11999/JEIT250306
[摘要](181) [HTML全文](124) [PDF 1943KB](34)
摘要:
超大规模可重构智能表面(XL-RIS)辅助通信系统的信道估计,需解决混合远-近场级联信道建模、远/近场分量区分及参数估计等问题。该文建立了混合远-近场级联信道参数化模型,并针对性地提出两阶段的混合场级联信道参数估计方案:第1阶段估计基站侧的角度参数;第2阶段基于所提出的混合场前向空间平滑降秩多信号分类算法估计RIS侧的远/近场角度参数和近场距离参数,其中根据混合场效应处理远/近场分量,设计了功率谱对比方案区分远/近场分量及路径数量。仿真结果表示,相比于单一远场、近场估计方案和基于混合场正交匹配跟踪算法的估计方案,所提算法可以实现更高的估计精度。
一种空间语义联合感知的红外无人机目标跟踪方法
于国栋, 蒋一纯, 刘云清, 王义君, 詹伟达, 王春阳, 冯江海, 韩悦毅
2025, 47(11): 4242-4253.   doi: 10.11999/JEIT250613
[摘要](158) [HTML全文](55) [PDF 6284KB](42)
摘要:
现有红外无人机目标跟踪方法在多尺度特征融合过程中存在空间和语义信息丢失问题,导致跟踪器无法精准定位无人机目标位置,降低了跟踪任务的成功率。针对上述问题,该文提出一种空间语义联合感知的红外无人机目标跟踪方法。首先,提出了空间语义联合注意模块,通过空间多尺度注意模块提取多尺度长程依赖特征,增强空间上下文信息的关注,并通过全局-局部通道语义注意模块交互全局和局部通道特征,确保重要语义信息的捕获。其次,设计了双分支全局特征交互模块对模板和搜索分支特征进行有效整合,显著提高了网络的整体性能。在红外无人机数据集Anti-UAV上进行了广泛实验验证,结果表明:与现有方法相比,该方法具有更好的跟踪性能,平均状态精度达到0.769,成功率达到0.743,精确度达到0.935,均优于对比方法,并且有效性、泛化性和先进性也得到了验证。
参数列表化置信传播-顺序统计译码算法
梁济凡, 王千帆, 宋林琦, 李绿周, 马啸
2025, 47(11): 4254-4263.   doi: 10.11999/JEIT250552
[摘要](124) [HTML全文](67) [PDF 3351KB](14)
摘要:
针对量子纠错码中置信传播-顺序统计译码(BP-OSD)在单一归一化因子下搜索空间受限、易陷入局部最优而影响性能的问题,该文提出一种兼顾复杂度且提升译码性能的改进方案。所提增强型BP-OSD算法的核心思想是在前处理BP译码阶段对归一化因子\begin{document}$ \alpha $\end{document}进行列表化。与传统算法仅采用单一\begin{document}$ \alpha $\end{document}值不同,所提方法针对多个\begin{document}$ \alpha $\end{document}取值分别执行BP译码,并对每个取值下得到的后验概率利用OSD算法进行后处理,形成候选列表,最终选取最似然结果作为译码输出。为降低计算复杂度,该文仅在第1阶段BP译码失败时才触发参数列表化BP-OSD算法,并进一步对所提算法复杂度进行了理论分析与数值验证。结果显示,所提方案在低物理错误率区域与BP译码具有相似的复杂度。在实验方面,该文通过蒙特卡罗仿真对主流Surface码和量子低密度一致校验(QLDPC)码进行了性能评估。数值结果表明:(1)对于Surface码,所提方法相较于最小权重完美匹配(MWPM)算法和原始BP算法,可明显降低逻辑比特错误率并提升阈值(从MWPM的约15.5%提升至约18.3%);(2)对于QLDPC码,所提方法较原始BP和原始BP-OSD算法可显著提高译码性能,降低逻辑错误率。
反向散射NOMA辅助的直传与中继协同互惠传输方法
许尧, 胡荣飞, 贾少波, 李博, 王钢, 张治中
2025, 47(11): 4264-4274.   doi: 10.11999/JEIT250405
[摘要](197) [HTML全文](95) [PDF 3855KB](30)
摘要:
针对现有基于非正交多址接入的直传与中继协同传输(NOMA-CDRT)难以支持海量蜂窝物联网数据融合通信的问题,该文提出一种基于反向散射的互惠NOMA-CDRT方法。首先,借助反向散射调制与功率域叠加编码,构建信息传输和辅助一体化双向通信策略,实现蜂窝用户与物联网设备的频谱共享与互惠共生。其次,在理想和非理想串行干扰消除条件下,推导所提方法遍历和速率(ESR)的闭合表达式,以精确表征其系统性能。在此基础上,进一步设计基于改进粒子群优化算法的功率分配方案,以最大化ESR。仿真结果验证了理论分析及优化方案的有效性,并显示所提方法在ESR性能上显著优于传统NOMA-CDRT与正交多址接入方法。
基于跳过机制的低复杂度顺序统计译码算法
王千帆, 郭延庚, 宋林琦, 马啸
2025, 47(11): 4275-4284.   doi: 10.11999/JEIT250447
[摘要](230) [HTML全文](110) [PDF 5816KB](29)
摘要:
5G高可靠低时延(URLLC)场景和未来6G极高可靠极低时延(HRLLC)场景对于通信可靠性和时延等具有极其严格的需求,这给短码研究带来了新的机遇与挑战。该文聚焦于顺序统计译码(OSD),针对其重编码次数过多的问题,分别提出了基于软信息和额外校验的重编码跳过机制,并进一步提出了结合软信息和额外校验的联合跳过机制。具体地,基于软信息的跳过机制是根据当前列表中最优候选的软度量来判断是否跳过测试错误模式(TEP)的重编码;基于额外校验的跳过机制则是将TEP的搜索维度从\begin{document}$ k $\end{document}维扩展到\begin{document}$ k+\delta $\end{document}维,从而引入额外的校验来跳过不合法TEP的重编码;联合跳过机制则将两者结合,先以软信息进行跳过判断,再通过额外校验进一步跳过非法TEP。数值结果显示,所提联合跳过机制可以有效减少重编码次数,并优于现有文献的跳过设计。特别地,所提联合跳过机制可以在中高信噪比区域将重编码次数从约670 000次降低至十余次,且几乎不损失纠错性能。
雷达、水声、导航、阵列信号处理
多干扰环境下车载毫米波雷达干扰抑制算法研究
谭浩楠, 董玫, 陈伯孝
2025, 47(11): 4285-4295.   doi: 10.11999/JEIT250617
[摘要](176) [HTML全文](99) [PDF 8837KB](29)
摘要:
随着毫米波雷达在智能驾驶领域的广泛应用,雷达间的相互干扰问题日益凸显。干扰在时域表现为尖锐脉冲及频域本底噪声的显著升高,严重影响目标信息的获取,威胁道路交通安全。随着干扰雷达数量的增多,采用置零或插值的传统方法已无法有效抑制多干扰。为解决这一问题,该文提出了一种基于信号时域特征的联合包络修复信号重构算法,算法包括干扰区域检测与信号重构2个关键环节,首先通过干扰包络检测与包络内变换点检测的双重判据机制,提升了多干扰环境下干扰与干扰间片段有用信号检测准确性,使得干扰区域内的信号重构不仅可以利用无干扰区域有用信号也可以利用较短区域的片段有用信号。为了克服片段有用信号预测带来的信号幅度发散问题,利用希尔伯特变换对重构出的信号包络幅度协同归一化处理,使得重构出的信号更加整体连续,提升了信号重构精度。实验结果表明,当输入信干噪比(SINR)大于等于–10 dB时,输出SINR可达10 dB以上、较对比算法提升3~5 dB,且算法在实测数据中得到良好验证。
天基ISAR的高动态多普勒空间目标态势感知算法
周奕辰, 王勇, 丁文钧
2025, 47(11): 4296-4306.   doi: 10.11999/JEIT250667
[摘要](167) [HTML全文](72) [PDF 5964KB](40)
摘要:
在轨目标天基逆合成孔径雷达(ISAR)成像技术的发展为空间态势感知提供了关键技术支撑。针对天基ISAR空间目标成像中复杂相对运动导致的高阶三维空变距离徙动与相位误差问题,该文提出一种联合高分辨成像与姿态反演的态势感知算法,从而实现更为全面的空间目标状态评估过程。该文首先对卫星目标的成像特性进行分析,建立了目标多普勒参数与图像域散射点间的映射模型,并对空变多普勒参数的空间分布进行估计与重建;进而设计自适应区域分割机制实现三维空时误差的区域化一致性补偿,显著提升成像分辨率,同时基于卫星平面部件成像特性推导多普勒参数与卫星姿态间的显式关联,采用主成分分析法直接拟合平面系数反演目标姿态,避免依赖于传统的矩形状部件分割方法;最后,该文通过不同成像条件下的仿真结果验证了文中算法的有效性。
电磁信号特征匹配表征的弱小目标恒虚警检测方法
王子欣, 项厚宏, 田波, 马宏伟, 王宇颢, 曾小路, 王凤玉
2025, 47(11): 4307-4317.   doi: 10.11999/JEIT250589
[摘要](166) [HTML全文](80) [PDF 5514KB](35)
摘要:
传统恒虚警(Constant False Alarm Rate, CFAR)检测通过统计信号功率参数设定检测门限,其检测性能受限于信噪比,如何挖掘和利用功率参数之外的信号特征,实现更低信噪比的恒虚警检测是该文的研究重点。该文针对高斯白噪声背景下的弱小目标检测,提出了一种基于信号特征匹配的恒虚警检测方法,分析检测单元回波与理想回波信号的深度特征匹配度,以匹配度参数驱动目标检测,通过统计得到关于匹配度参数的恒虚警检测门限。仿真数据与多个频段雷达实测数据处理结果均表明,相比于传统CFAR检测方法及其他机器学习和深度学习方法而言,该文所提方法具有良好恒虚警特性的同时,表现出更佳的检测性能,等效信噪比改善2~5 dB。
基于阵列拼接的遮蔽人体目标三维成像方法
邱晨, 陈家辉, 邵烽智, 李念, 徐子涵, 郭世盛, 崔国龙
2025, 47(11): 4318-4330.   doi: 10.11999/JEIT250334
[摘要](122) [HTML全文](60) [PDF 7752KB](20)
摘要:
在进行墙后人体目标三维成像时,系统需具备获取距离、方位和俯仰三维信息的能力。然而,通常采用的二维平面阵列存在通道数量多导致的校准难、成本高等问题。为此,该文提出了一种基于阵列拼接的遮蔽人体目标三维成像方法,通过单台小孔径雷达分时顺序拼接或多台独立工作的雷达同时空间拼接,实现低成本化的穿墙遮蔽人体目标三维成像。具体而言,首先通过三维加权总变分方法将各个横向阵列及纵向阵列的雷达回波数据进行初步成像;然后,将各个横向阵列获取的成像结果与纵向阵列的成像结果乘性融合,并采用Lucy-Richardson反卷积算法进一步提升成像分辨率;最后采用三维小波变换融合方法,实现各个子图像的有效融合。仿真与实测实验验证了所提方法的有效性,为墙后人体目标三维成像提供了一种新颖、低成本的解决方案。
脉内与脉间多相调制的雷达干扰一体化波形设计
张世源, 陆星宇, 严华斌, 杨建超, 谭珂, 顾红
2025, 47(11): 4331-4339.   doi: 10.11999/JEIT250600
[摘要](154) [HTML全文](72) [PDF 3428KB](32)
摘要:
一体化雷达干扰系统的核心在于一体化干扰波形设计。现有雷达干扰一体化信号存在设计自由度局限,其探测与干扰的综合性能尚未达最优。该文提出基于脉内-脉间多相调制的雷达干扰一体化波形:探测方面,通过回波信号的相位补偿与互补合成技术生成线性调频(LFM)信号,使该波形具备理想探测性能;干扰方面,借助脉内-脉间多参数调制机制,可显著提升对敌方探测结果中距离-多普勒图干扰能量分布的调控自由度。仿真分析与实验结果证实,该波形在探测-干扰综合性能方面具有显著优势。
一种空域线性调频加权的空时联合频控阵雷达波形
兰宇, 周剑雄
2025, 47(11): 4340-4350.   doi: 10.11999/JEIT250561
[摘要](90) [HTML全文](39) [PDF 6786KB](10)
摘要:
频控阵(FDA)具有随快时间变化的发射方向图和空时耦合导向矢量,在多目标跟踪、宽覆盖探测和抗主瓣干扰等应用中有潜在优势。空域调制方法和基带波形设计是决定FDA模糊函数性能的两个互相关联的重要因素。针对目前FDA波形难以兼顾高距离分辨率及低旁瓣水平的问题,该文提出一种空域线性调频加权与时域相位编码结合的空时联合FDA波形,该波形通过空时联合调制抑制条带样高增益旁瓣,通过空域线性调频加权降低多普勒敏感性,具有距离分辨力高、旁瓣水平低、多普勒容限高等特点。仿真实验表明,该波形在距离分辨、旁瓣水平及多普勒容限性等方面存在优势。
融合跨域多特征的SAR射频干扰检测与定位方法
付泽文, 韦婷婷, 李宁宁, 李宁
2025, 47(11): 4351-4362.   doi: 10.11999/JEIT250701
[摘要](113) [HTML全文](56) [PDF 8021KB](24)
摘要:
合成孔径雷达(SAR)易受同频段电子设备产生的射频干扰影响,使SAR图像解译难度显著增加。射频干扰的检测与定位有利于将SAR回波数据中的干扰精准“剔除”,降低射频干扰对SAR图像解译的不利影响。针对射频干扰业务化、工程化的检测与定位,该文提出一种融合跨域多特征的SAR射频干扰检测与定位方法。首先,通过对时域矩峰度和时域一阶偏导数进行加权融合,实现回波信号的初步检测。然后,结合短时傅里叶变换与对数比差异变化能量检测技术,获取射频干扰在SAR回波数据时频域中的时空表征,最后,将射频干扰的时空表征映射至时域,得到射频干扰信号的精确位置。通过全方位多角度的仿真与实测数据实验,结果表明所提方法针对窄带干扰和宽带干扰的检测与定位精度均优于传统方法,为SAR系统工程化检测与定位射频干扰提供了可靠的技术方案。
基于双模微波雷达联合雨量计的降雨强度动态反演算法
张琪烁, 张文鑫, 高梦宇, 熊飞
2025, 47(11): 4363-4372.   doi: 10.11999/JEIT250535
[摘要](186) [HTML全文](108) [PDF 5180KB](10)
摘要:
微波气象雷达探测降雨特征的应用前景较为广泛,但其数据维度单一,测量精度受限于传统反演算法局限性。该文提出基于双模(FMCW-CW)微波雷达联合雨量计的数据进行融合反演降雨强度。针对FMCW模式的雨滴谱数据特征,该文提出基于注意力机制(Attention)连接双层长短期记忆网络(LSTM)的融合算法(LSTM-Attention-LSTM),通过Attention和 LSTM提取雨滴谱数据与实际降雨强度之间的依赖关系,聚焦重要特征并进行解码预测。同时,针对CW模式反演算法难以获取雨滴谱数据,仅能依赖反射率因子和降雨率(Z-R)关系的问题,提出基于扩展卡尔曼算法(EKF)优化Z-R关系,通过动态建模Z-R参数、融合多源数据、施加物理约束,以便准确拟合Z-R关系。实验结果表明:(1)LSTM-Attention-LSTM显著提升降雨率反演精度,相较实际测量降雨强度相关系数(R2)达到0.95,均方根误差(RMSE)为0.1623 mm/h。(2)基于EKF优化动态Z-R关系法能够更加精准地确定Z-R关系的参数,拟合结果与实际数据分布情况相关度最高R2为0.972,RMSE为0.1076 mm/h。
采用回波相位加权的准涡旋电磁波雷达前视成像
舒高峰, 魏奕鑫, 李宁
2025, 47(11): 4373-4383.   doi: 10.11999/JEIT250542
[摘要](137) [HTML全文](76) [PDF 11620KB](18)
摘要:
携带轨道角动量(Orbital Angular Momentum, OAM)的涡旋电磁波(Vortex ElectroMagnetic Wave, VEMW)由于不同OAM模式之间的正交性,在雷达前视成像方面表现出重要的应用潜力,引起国内外学者的广泛关注。在VEMW成像技术中,通常采用均匀圆环阵列(Uniform Circular Array, UCA)来生成和发射多模态VEMW照射成像目标,以获得回波。然而,UCA产生的VEMW有主瓣发散的特点,导致在自由空间中产生的电磁波能量分布不集中,从而使得雷达回波能量相对较弱。此外,传统涡旋电磁波雷达在工作过程中需要不断切换OAM模式,这一过程增加了系统的复杂性。为了应对上述挑战,该文首先建立了准圆环阵列(Quasi-Circular Array, QCA)的电场模型,通过QCA得到了能量更加集中的准涡旋电磁波。同时,提出了一种对每个阵元的接收回波进行多OAM模式相位加权的方法,得到等效多模式接收回波。仿真结果表明,相比于基于UCA的涡旋电磁波雷达成像方法,该文所提方法方位分辨率提高了两倍以上,并且有效地提高了回波能量,在信噪比低至–15 dB的环境下,重建的目标仍然清晰可见。该文所提方法在雷达前视成像领域具有较大的实际应用潜力。
融合Grubbs-信息熵与改进粒子滤波的三维水下目标跟踪算法
蔡芳林, 王骥, 邱浩玮
2025, 47(11): 4384-4393.   doi: 10.11999/JEIT250249
[摘要](70) [HTML全文](31) [PDF 2901KB](15)
摘要:
为解决三维空间中水下无线传感器网络(UWSN)在异常情况下进行目标跟踪时精度不佳的问题,该文提出一种基于优化Grubbs准则的信息熵加权数据融合和改进粒子滤波(IPF)的三维水下目标跟踪算法(OGIE-IPF)。首先,在粒子滤波框架中融合无迹卡尔曼滤波(UKF)算法以构建重要性密度函数,从而抑制粒子退化现象;同时,在重采样阶段提出一种动态自适应分层权重优化机制,通过差异化修正高、中、低权重粒子的分布,以增强粒子多样性并抑制贫化现象。其次,基于标准Grubbs准则提出以马氏距离替代传统的标准化残差思想构建异常统计量,通过融合多维变量的协方差矩阵,实现多维数据的异常检测。最后,基于IPF实现局部目标跟踪,结合优化的Grubbs准则进行异常检测与传感器信任评估,并通过信息熵加权的多源融合算法完成全局状态估计。仿真实验结果表明,所提改进算法相较于PF算法,粒子权重分布方差降低了约97.26%,而在低噪声和高噪声场景下相比于粒子滤波(PF)、扩展粒子滤波(EPF)、无迹粒子滤波(UPF)均方根误差分别降低了79.78%, 66.78%, 56.41%和83.41%, 70.38%, 21.68%。该文所提改进算法有效提高了水下异常情况下的目标跟踪精度,展现出良好的鲁棒性。
多层/多孔材料在特定几何剖分下电磁时域有限差分法的散射分析
张玉贤, 杨子江, 黄志祥, 冯晓丽, 冯乃星, 杨利霞
2025, 47(11): 4394-4404.   doi: 10.11999/JEIT250348
[摘要](115) [HTML全文](62) [PDF 11146KB](13)
摘要:
时域有限差分法(FDTD)作为计算介质电磁特性的有效方法,往往受到模型结构及其网格剖分的预处理限制。为了探究多层/多孔材料的电磁散射特性问题,提高电磁仿真的计算效率,该文提出一种基于FDTD的电磁分析加速方案。通过计算几何算法来快速完成复杂材料的Yee网格划分,由三维体素数组定义材料构建分布矩阵与电磁分量的统一排布,针对体素数据的特点实现了非解析几何介质的雷达散射截面的高效计算。现今大多数体网格剖分需要解析公式来描述几何体,该文开创性地将射线求交法与有向距离相结合,并通过切平面与交点计算减少网格生成过程中的无效遍历、降低几何运算复杂度,加速实现多孔非解析几何体的电磁参数网格化定义。该文设计了3种关于多层/多孔材料的时域电磁分析场景,计算了这些场景在不同条件下的雷达散射截面。与主流电磁仿真软件任意复杂电磁场计算(FEKO)、计算机仿真技术(CST)和高频结构仿真软件(HFSS)的计算相比,该方法的计算数据呈现出高度的吻合性,表现出了优越的效率。电磁分析加速方案拓展了使用FDTD进行电磁仿真的介质结构及材料类型,在保证计算精度的前提下显著节省了计算时间与内存,为体网格剖分加速和内部结构处理提供了新的研究思绪。
密码学与网络信息安全
融合改进Jaya和集群中心选择算法的边缘网络数据调度优化方法
杨雯升, 潘成胜
2025, 47(11): 4405-4418.   doi: 10.11999/JEIT250317
[摘要](159) [HTML全文](120) [PDF 5549KB](11)
摘要:
在智能化浪潮与数据激增的推动下,物联网设备、传感器及智能终端数量迅速增长,传统集中式网络与云计算架构在带宽、延迟与存储等方面面临严峻挑战。边缘计算作为一种将计算与存储资源部署至靠近用户的网络边缘的新型计算范式,成为应对大规模数据处理与低时延需求的有效解决方案。然而,如何在边缘计算环境下应对数据密集型业务带来的挑战,合理划分边缘节点集群并优化资源调度,成为关键问题。为此,该文提出一种融合改进Jaya和集群中心选择算法的边缘网络数据调度优化方法,针对数据密集型业务,将业务所涉及到的边缘节点划分集群,选择出集群中心,以集群为单位,将边缘节点的数据先汇聚到多个集群中心,再通过集群中心进一步上传到云端,实现边缘网络数据资源的调度和优化管理。首先通过对传统Jaya算法进行改进,引入非线性衰减策略和构建多阶段搜索策略,提升路径规划的全局搜索能力与局部精细调整能力,从而求解边缘节点间的最短路径。在此基础上,提出优化集群中心选择算法,综合考虑最短路径和可用网络资源,选择通信与资源条件最优的节点作为集群中心,并为每个集群中心划分集群成员,构建合理的边缘网络集群结构。实验结果表明,改进后的Jaya算法在收敛速度与寻优精度方面均优于对比算法,所提集群中心选择方法表现出良好的鲁棒性,并且验证了该方法在边缘计算场景资源调度中的可行性与有效性。
一种基于黎曼流形优化与非单调线性搜索的混合波束成形算法
严军荣, 施威涛, 李沛
2025, 47(11): 4419-4428.   doi: 10.11999/JEIT250396
[摘要](215) [HTML全文](128) [PDF 2116KB](21)
摘要:
针对毫米波Massive MIMO系统中混合波束成形算法存在的复杂度高、运行时间长、能量效率低的问题,该文提出一种基于黎曼流形优化与非单调线性搜索的混合波束成形算法(MO-NMLS)。该算法首先采用数字预编码器的最小二乘解重构目标函数,以降低求解维度;其次构建黎曼流形计算新目标函数的黎曼梯度,从而将模拟域的恒模约束转化为无约束优化;然后基于当前迭代点与历史迭代点梯度信息的非单调线性搜索算法计算动态步长因子,以提升数字预编码器的收敛速度;最后采用数字预编码器优化模拟预编码器,以实现混合预编码器的迭代更新。仿真结果表明,在全连接结构下,所提算法在保持等效频谱效率时,相比CG算法减少了75.3%的运行时间;尤其是在重叠子阵结构子阵偏移量为8时,所提算法的能量效率较全连接结构提升了10.9%。
本地差分隐私下技能感知的任务分配算法研究
方贤进, 甄雅茹, 张朋飞, 黄珊珊
2025, 47(11): 4429-4439.   doi: 10.11999/JEIT250425
[摘要](154) [HTML全文](65) [PDF 2639KB](7)
摘要:
空间众包任务分配依托平台将具有地理位置属性的任务指派给周边工人,然而工人在上传实时位置信息过程中,行踪易被泄露或滥用,存在隐私风险。现有方法虽采用可信第3方或差分隐私进行位置扰动,但在多技能任务及技能分布不均场景下难以兼顾隐私保护与分配效率。为此,该文提出一种融合隐私保护与技能感知的协同分配算法。首先采用截断拉普拉斯机制对工人位置加噪,在满足本地差分隐私的同时降低定位偏差;其次引入基于信息熵的技能多样性评估指标,并设计动态策略优化工人集合技能分布;最后再构建基于技能贡献值的贪婪算法,并结合时空与预算约束提出3种剪枝策略提升计算效率。实验结果表明,该方法在服务质量损失、任务完成率与平均预算剩余率等方面表现优良,实现了隐私保护与任务分配效率之间的有效平衡。
融合代码序列与属性图的源代码漏洞检测方法
杨宏宇, 罗靖川, 成翔, 胡俊成
2025, 47(11): 4440-4450.   doi: 10.11999/JEIT250470
[摘要](101) [HTML全文](45) [PDF 2746KB](14)
摘要:
针对现有源代码漏洞检测方法无法充分提取并有效融合代码特征,导致检测模型学习不全面、漏洞检测性能不佳等问题,该文提出一种融合代码序列与属性图的源代码漏洞检测方法。首先,获取代码序列特征表示和代码属性图特征表示。其次,使用预训练模型UniXcoder提取代码语义特征并使用残差门控图卷积网络提取代码图结构特征。然后,构建一种用于特征融合的多模态注意力融合网络,通过学习代码的语义特征与图结构特征之间的交互关系,形成对漏洞检测任务更有价值的融合特征。最后,通过引入插值预测分类器并调整模型关注点,提升模型针对不同特性样本的泛化性并优化漏洞检测性能。多个数据集上的实验结果表明,所提方法具有良好检测效果,准确率可提升0.08%~1.38%,精确率可提升5.19%~8.15%。
一种利用牛顿法的零相关区序列优化设计方法
呼恩波, 刘涛, 李玉博
2025, 47(11): 4451-4458.   doi: 10.11999/JEIT250394
[摘要](284) [HTML全文](135) [PDF 1661KB](39)
摘要:
具有零相关区的序列集在无线通信以及雷达中具有重要的应用。然而,现有的序列集大都基于数学解析构造方法得到,其参数如序列长度和序列数目等受到一些限制,不能灵活设定,这限制了其在实际场景中的应用。因此,研究具有灵活参数的序列集构造方法成为一个有意义的课题。为得到更多灵活参数的序列集,该文利用牛顿优化方法来进行零相关区序列设计研究,具体提出了非周期零相关区互补序列集和非周期零相关区序列集的优化设计方法,得到的序列集参数可灵活调节。最后,通过互补峰值旁瓣水平(CPSL)和加权峰值旁瓣水平(WPSL)评估了序列集性能。
多模态联合蒸馏优化的源代码漏洞检测方法
张学军, 张一帆, 刘灿灿, 加小红, 陈卓, 张蕾
2025, 47(11): 4459-4469.   doi: 10.11999/JEIT250453
[摘要](142) [HTML全文](95) [PDF 2667KB](18)
摘要:
针对现有基于深度学习的源代码漏洞检测方法在特征利用不充分、易学习虚假特征及跨模态一致性优化不足的问题,该文提出一种深度蒸馏与多模态一致性提升的漏洞检测框架mVulD-DO。该方法通过程序依赖图和代码切片技术,从源代码中提取函数名、变量名、Token_type及局部代码片段等多个语义模态以提升代码语义的刻画精度,并结合异构邻接矩阵与图注意力网络构建结构模态;接着,引入多层特征蒸馏层对各语义模态进行深层蒸馏以提炼特征主峰,利用BLSTM捕获时序依赖,并通过自适应动态Sinkhorn正则化在全局范围内对齐语义与结构特征分布;最终,经过对齐的模态输入全局注意力层进行融合,融合特征经过softmax分类器实现二分类检测。大量对比与消融实验表明,mVulD-DO在准确率、F1-score和Recall等指标上达到87.11%, 86.37%, 83.59%,均优于主流方法,验证了多模态表征、深度蒸馏及联合优化在漏洞检测中的协同优势和泛化能力。
多涡卷保守混沌系统的构建及在图像加密中的应用
安新磊, 李治甫, 薛睿, 熊丽, 张莉
2025, 47(11): 4470-4481.   doi: 10.11999/JEIT250432
[摘要](139) [HTML全文](89) [PDF 9887KB](22)
摘要:
鉴于当前保守混沌系统中多涡卷等复杂动力学行为的研究尚不充分,该文构建了五维保守超混沌系统,通过哈密顿能量函数的调控实现多涡卷保守混沌流的可控生成,进而探究其在图像加密领域的应用。基于哈密顿能量函数的驻点分析,该文揭示了涡卷结构的形成机制:系统运动轨迹沿哈密顿能量等值面演化,增加哈密顿能量函数的驻点可诱导多方向涡卷保守混沌流的形成。复杂度分析结果进一步验证了多涡卷保守混沌系统具有显著提升的谱熵复杂度。基于上述研究,该文设计了一种融合人脸检测技术的图像加密算法,实现针对人脸区域的信息加密。仿真结果表明该算法具备良好的安全性能。
贝叶斯优化驱动的粗粒度可重构密码逻辑阵列设计空间探索方法
蒋丹萍, 戴紫彬, 刘燕江, 周朝旭, 宋晓玉
2025, 47(11): 4482-4492.   doi: 10.11999/JEIT250624
[摘要](76) [HTML全文](38) [PDF 2893KB](4)
摘要:
由于粗粒度可重构密码逻辑阵列(CGRCA)的设计空间规模巨大,导致设计评估耗时长,手工探索优化解的质量不高且搜索效率较低。为此,该文面向CGRCA架构的高维空间、多目标优化特性,提出了基于贝叶斯优化的多目标设计空间探索方法,在平衡吞吐量、面积和FU利用率的同时提升解的质量。首先,该方法利用知识感知的无监督学习采样策略获得初始样本,确保初始样本的代表性与多样性。其次,建立快速评估模型对样本进行量化评估,缩短评估性能的时长。再者,设计自适应的多采集函数并建立基于贪心的混合代理模型,提出多目标贝叶斯优化方法来搜索最优的CGRCA架构,提升搜索效率和通用性。实验结果表明,该文提出的设计空间探索方法较其他设计空间探索方法,与参考集的平均距离(ADRS)至多降低34.9%,超体积提升28.7%,吞吐量提升29.9%,面积减少6.0%,FU利用率提升11.6%,并且展现出优异的跨算法稳定性。
报头特征驱动的加密流量跨维度协同识别框架
王梦寒, 周正春, 吉庆兵
2025, 47(11): 4493-4503.   doi: 10.11999/JEIT250434
[摘要](102) [HTML全文](68) [PDF 5166KB](14)
摘要:
在网络通信加密技术广泛应用的背景下,加密流量识别已成为网络安全领域亟待攻克的核心难题。传统基于载荷内容的识别方法,因加密算法的持续升级,面临特征失效的风险,进而在动态网络环境中产生检测盲区。与此同时,报头作为协议交互的关键载体,其结构化特征价值尚未得到充分挖掘。此外,随着加密协议的不断发展,现有的加密流量识别方法还面临特征解释性不足、模型在对抗攻击下鲁棒性薄弱等问题。针对上述挑战,该文提出一种报头特征驱动的加密流量跨维度协同识别框架,分别从网络流量特征选取与识别性能、量化特征贡献度的可解释性评估以及对抗性扰动对模型稳健性影响3个维度进行分析,系统地揭示和证明了报头特征在加密流量识别中占主导作用,突破了传统单视角分析的局限性,革新了传统方法依赖载荷数据的固有认知。该识别框架不仅能分析深度模型的性能边界、评估决策的可信性,而且能通过有效筛选特征剪除冗余,在降低模型复杂度的基础上提升加密场景下的抗干扰能力,进而设计更轻量化、更加稳健的加密流量识别模型。最后,在ISCXVPN2016和ISCXTor2016数据集上的对比实验表明:在识别性能维度,仅基于报头特征的模型F1分数较完整流量模型最高提升6%,较仅基于有载荷特征的模型最高提升61%,验证了报头特征在分类任务中的有效性;在可解释性评估中,通过特征贡献度量化方法发现,报头特征相关性得分的平均占比相较于载荷特征最多高出 89.8%,凸显其在模型决策中的主导性影响;在抗干扰鲁棒性方面,含报头特征的模型在同等带宽扰动下的最大抗干扰性能保持率较纯载荷模型相比,优势显著,最大差距达 98.46%,证实了报头特征对增强模型鲁棒性的关键作用。
图像与智能信息处理
空中对抗场景下对比学习驱动的弱监督机动识别方法
朱龙俊, 袁伟伟, 门雪峰, 童伟, 吴奇
2025, 47(11): 4504-4514.   doi: 10.11999/JEIT250495
[摘要](199) [HTML全文](86) [PDF 3012KB](36)
摘要:
针对空中对抗场景中飞行机动标注数据获取困难、时序特征提取不充分等问题,该文提出一种基于对比学习的弱监督机动识别方法,旨在提升机动识别性能。通过将视觉表征对比学习的简单框架(SimCLR)创新性地扩展至时间序列分析,设计针对时间序列的数据增强策略,构建具有时序不变性的特征空间。进而结合对比学习机制,在特征空间内形成正负样本组的竞争关系,有效抑制伪标签噪声干扰。最后结合微调技术,在DCS World飞行模拟数据上进行实验验证。结果表明,该方法能有效利用时间序列数据潜在信息,在缺乏标注数据情况下展现出良好性能,为空中对抗机动识别及时间序列分析领域提供了新的思路与方法。
基于自适应模型剪枝的联邦遗忘学习方法研究
马振国, 和孜轩, 孙彦景, 王博文, 刘建春, 徐宏力
2025, 47(11): 4515-4524.   doi: 10.11999/JEIT250503
[摘要](232) [HTML全文](105) [PDF 1720KB](25)
摘要:
随着物联网(IoT)设备数量的指数级增长和《个人信息保护法》等法规的相继实施,联邦遗忘学习在边缘计算(EC)中已成为保障数据“被遗忘权”的关键技术。然而,边缘节点普遍存在的资源异构性—计算能力、存储容量和网络带宽等差异,导致基于全局统一剪枝策略的类级遗忘方法(遗忘某类训练数据)面临训练效率下降的困境。为了应对上述挑战,该文针对类级遗忘场景,提出了一种基于自适应模型剪枝的联邦遗忘学习框架(FunAMP),通过降低节点之间的等待时间提高模型训练效率。首先,该文建立了模型训练时间、节点资源与模型剪枝比之间的定量关系,并据此给出自适应模型剪枝问题的形式化定义。随后,设计了一种基于贪心策略的剪枝比决策算法,根据每个节点的计算和通信资源为其分配合适的剪枝比,并分析该算法的近似比,为算法性能提供理论保证。接着,确立了一种基于词频-逆文频的相关性指标来衡量模型参数与目标类数据之间的关系,根据该指标和分配的剪枝比将与目标类数据相关的模型参数去除,从而在实现目标类数据遗忘的同时最大限度地降低模型训练时间。实验结果表明,FunAMP在达到相同准确率的情况下,相比现有方法最高可实现11.8倍的加速比。
面向电力灾害预警场景:基于受限频谱资源的大模型与轻量模型联合部署方案
陈磊, 黄在朝, 刘川, 张围围
2025, 47(11): 4525-4534.   doi: 10.11999/JEIT250321
[摘要](101) [HTML全文](53) [PDF 3056KB](23)
摘要:
面向电力灾害预警场景,传统针对不同场景设计专有、独立预警系统的方式存在数据采集冗余和开发成本高昂问题。为提高预警精度并降低成本,基于AI大模型的综合预警系统是未来研究的主要方向之一,但大模型通常需要部署在云侧,而无线频谱资源限制使得所有数据上传至云侧面临挑战。通过将模型规模大幅压缩获得轻量模型并在端侧部署,可绕过频谱资源受限瓶颈,但这不可避免地会降低模型性能。为此,该文提出一种基于云-端协同的大模型与轻量模型联合部署方案:在云侧部署高精度大模型处理复杂任务,在端侧部署轻量模型处理简单任务,并通过可信阈值实现任务分流;在此基础上,该文引入功率域非正交多址技术,使得多个终端可共享同一时频资源,进而通过增加云侧处理任务比例提高系统检测精度;然后针对仅考虑上行共享信道带宽约束场景、同时考虑终端接入碰撞约束与共享信道带宽约束场景,分别设计给定带宽时系统可支持的最大终端数量求解算法和检测准确率最优的可信阈值求解算法。数值结果表明,所提方案在系统可支持终端数量、检测精度方面显著优于多种对比方案,验证了所提方案的有效性和优越性。
全局–局部协同嵌入与语义掩码驱动的年龄化方法
刘耀晖, 刘佳鑫, 孙鹏, 沈喆, 郎宇博
2025, 47(11): 4535-4548.   doi: 10.11999/JEIT250430
[摘要](188) [HTML全文](81) [PDF 5485KB](21)
摘要:
人像年龄化要求在保留输入人像个体特征与身份信息的同时生成指定年龄人像。针对现有方法在嵌入阶段存在的特征解耦能力不足,头发、眼镜等非年龄化因素对皮肤纹理建模干扰产生伪影的问题,该文提出一种全局–局部协同嵌入与语义掩码驱动的年龄化方法(GLS-Age)。通过全局–局部协同嵌入策略对不同潜在空间分配差异化的学习任务,在保持人像全局一致性的同时,增强了对睫毛、皮肤纹理等局部细节的还原能力,显著改善了嵌入人像的感知质量;针对非年龄化因素对皮肤纹理建模的干扰,设计一种语义掩码驱动的非年龄化区域编辑模块,通过图像填充技术对输入人像进行重构去除非年龄化因素,从而避免在年龄化过程中引入伪影。为精确迁移输入人像中头发、眼镜等非年龄化要素,进一步构建可微生成器DsGAN实现迁移潜码与原始嵌入潜码的高效对齐,确保生成人像在语义与结构上的一致性。在CACD, CelebA等公开基准数据集上的实验结果表明,GLS-Age在确保年龄转化效果的同时显著提升了身份一致性。同时在Face++平台评估中,GLS-Age所生成人像在身份置信度和年龄预测分布等指标上均获得了优异的评分。
结合预训练模型的双向门控图卷积对抗词义消歧
张春祥, 孙颖, 高可心, 高雪瑶
2025, 47(11): 4549-4559.   doi: 10.11999/JEIT250386
[摘要](186) [HTML全文](110) [PDF 2090KB](19)
摘要:
词义消歧(WSD)是提升计算机自然语言理解能力的关键技术,广泛应用于机器翻译、信息检索等领域。为解决现有模型在泛化与鲁棒性方面的不足,该文提出了一种基于预训练模型的双向门控循环单元(Bi-GRU)、交叉注意力(CA)和图卷积网络(GCN)融合的词义消歧模型,引入对抗训练(AT)来优化该模型。将歧义词左右词汇的词形、词性和语义类作为消歧特征,输入LERT获取动态词向量,利用交叉注意力融合Bi-GRU神经网络提取token序列的全局语义信息和CLS序列的局部语义信息,为消歧特征图生成更加完整的句子结点表示。将消歧特征图输入图卷积来更新结点之间的特征信息,然后利用插值预测层和语义分类层来确定歧义词的真实语义类别。计算输入动态词向量的梯度,生成细微的连续扰动,并将扰动加入到原始词向量矩阵中,生成对抗样本。利用对抗样本,融合网络的损失与对抗训练中的损失来优化消歧模型。实验结果表明,该方法不仅能够增强消歧模型处理复杂词汇歧义问题的能力,还能有效提高其鲁棒性和泛化能力,从而表现出更好的消歧性能。
非完备感知条件下的地面多目标行为与意图预测
朱心怡, 平鹏, 侯婉莹, 施佺, 吴奇
2025, 47(11): 4560-4571.   doi: 10.11999/JEIT250322
[摘要](227) [HTML全文](114) [PDF 8064KB](29)
摘要:
现代战场中,目标行为的复杂构成与演化不确定性显著增加了意图预测的难度。传统意图预测方法数据缺失的鲁棒应对不足、目标行为模态考虑较为固化,易受复杂战场环境影响,难以适应快速变化战场环境下的高价值目标意图识别与整体地面目标的态势感知。为此,该文提出一种融合威胁场建模与动态修复机制的门控循环单元(GRU)预测模型(TF-GRU)。该模型首先构建静态威胁场与动态威胁场以关联目标特性与意图,继而通过粒子滤波与动态时间规整的动态融合策略处理数据缺失,并引入邻域目标角度约束增强多目标预测能力,继而将轨迹数据与威胁场数据输入GRU捕捉目标行为的时序动态演化,从而在信息非完备条件下实现对地面目标整体意图的精准预测。实验结果表明,该方法显著提高了意图预测的准确性,可为战场态势感知和决策提供强有力的支持。
面向大语言模型的抗干扰协同推断技术
林志平, 肖亮, 陈宏毅, 徐小宇, 李杰铃
2025, 47(11): 4572-4582.   doi: 10.11999/JEIT250675
[摘要](209) [HTML全文](95) [PDF 5044KB](42)
摘要:
大语言模型协同推断技术利用边缘服务器的算力增强推断性能,但在干扰攻击下由于数据卸载的时延和丢包大幅增加,导致推断任务完成率和速度等性能下降。为此,该文提出面向大语言模型的抗干扰协同推断方案,采用强化学习根据推断任务类型、多模态数据量大小、设备间信道增益和干扰强度等信息优化选择边缘服务器、大语言模型的稀疏率和量化精度、数据卸载的发射功率和传输信道。基于逐层无结构剪枝算法和参数量化技术部署不同稀疏率和量化精度的大语言模型,处理图片、文本、视频和温湿度等多模态数据的词元向量,以满足多样化任务的推断精度和速度需求。根据数据卸载的时延和丢包率评估推断性能下降的风险等级,避免选择可能使任务失败的抗干扰协同推断策略。最后,搭建移动无人车抗干扰协同推断系统,部署大语言模型LLaVA-1.5-7B以图片和文本数据为输入,支撑移动终端的人机问答和决策辅助等推断任务。实验结果表明,该方案可提升智能干扰攻击下的推断任务完成率、精度和速度。
联合聚焦度量与上下文引导滤波的聚焦深度估计
蒋颖, 邓慧萍, 向森, 吴谨
2025, 47(11): 4583-4593.   doi: 10.11999/JEIT250540
[摘要](83) [HTML全文](53) [PDF 9449KB](3)
摘要:
聚焦深度估计(DFF)通过分析图像中各像素的焦点变化来推断场景深度,任务的关键在于定位焦堆栈中的最佳聚焦像素点。然而弱纹理区域中焦点变化通常较为细微,导致聚焦区域检测困难,影响深度估计的准确性。因此,该文提出了一种结合聚焦度量与上下文信息的焦堆栈深度估计网络,方法能够精确识别焦堆栈中最佳聚焦像素,并推断出可靠的深度图。文中将聚焦度量算子概念融入深度学习框架,通过增强聚焦区域的特征表达,提升网络对弱纹理区域细微焦点变化的感知能力。此外,文章引入语义上下文引导机制,利用整合的场景语义信息,指导焦点体积的滤波优化。这使网络能同时捕获局部焦点细节与全局上下文信息,实现对弱纹理区域焦点状态的全面推断。综合实验结果,所提出的模型在主观质量和客观指标相比其他算法都有明显提升,具有良好的泛化能力。
多粒度文本感知分层特征交互的视觉定位方法
才华, 冉越, 付强, 李军龑, 张晨洁, 孙俊喜
2025, 47(11): 4594-4605.   doi: 10.11999/JEIT250387
[摘要](189) [HTML全文](104) [PDF 8514KB](11)
摘要:
现有视觉定位方法在文本引导目标定位和特征融合方面存在显著不足,主要表现为未能充分利用文本信息,并且整体性能过于依赖特征提取后的融合过程。针对这一问题,该文提出一种多粒度文本感知分层特征交互的视觉定位方法。该方法在图像分支中引入分层特征交互模块,利用文本信息增强与文本相关的图像特征;多粒度文本感知模块深入挖掘文本语义内容,生成具有空间和语义增强的加权文本。在此基础上,采用基于哈达玛积的初步融合策略融合加权文本和图像,为跨模态特征融合提供更为精细的图像表示。利用Transformer编码器进行跨模态特征融合,通过多层感知机回归定位坐标。实验结果表明,该文方法在5个经典视觉定位数据集上均取得了显著的精度提升,成功解决了传统方法过度依赖特征融合模块而导致的性能瓶颈问题。
电路与系统设计
VCodePPA:面向集成电路物理约束优化的Verilog代码数据集
陈溪源, 姜宇轩, 夏莹杰, 胡冀, 周奕兆
2025, 47(11): 4606-4619.   doi: 10.11999/JEIT250449
[摘要](207) [HTML全文](94) [PDF 4130KB](24)
摘要:
Verilog作为主流硬件描述语言之一,其代码质量直接影响电路的功耗、性能和面积(PPA)。当前,基于大语言模型(LLM)生成硬件描述语言的应用面临一个关键挑战:如何引入基于PPA指标的设计反馈机制,以有效指导模型优化,而不仅停留在Verilog语法和功能正确性层面。针对这一问题,该文公开了名为VCodePPA的数据集,该数据集将Verilog代码结构与功耗、性能、面积指标进行了精准关联,共包含17 342条高质量样本数据。该文所做工作为:构建了包含基本算术运算模块、存储架构模块等20种功能分类的3 500条规模的种子数据集;设计了基于蒙特卡罗搜索(MCTS)的多维代码数据增强方案,通过架构层、逻辑层和时序层3个维度的9种变换器对种子数据集进行代码变化,生成大规模功能等同但PPA指标差异显著的Verilog代码集。每条数据均包含如板上资源占用量、关键路径延迟、最大工作频率等多种硬件设计指标,用于训练模型在硬件设计PPA指标的冲突-平衡规律知识。实验表明经此数据集训练后,新模型相比基线模型在各种Verilog设计任务上平均减少了10%~15%的板上资源占用,降低了8%~12%的功耗,并缩短了5%~8%的关键路径延迟。
一种用于微波组件的超宽带键合丝射频特性补偿芯片及电路设计
孔伟东, 闫鹏伊, 路少鹏, 王乔楠, 邓世雄, 林朋, 王琮, 杨国辉, 张狂
2025, 47(11): 4620-4627.   doi: 10.11999/JEIT250502
[摘要](196) [HTML全文](110) [PDF 3705KB](19)
摘要:
该文提出一种利用π型电路结构提升键合金丝补偿网络匹配带宽的方法,并设计了π型电路结构的砷化镓芯片,该结构极大提升了微波组件中跨深缝隙键合互联结构传输性能。与传统的50 Ω芯片的仿真结果相比,实现将跨深缝隙互联结构匹配带宽(S11≥15 dB)从20 GHz拓宽到了40 GHz。实测数据表明,该文提出的芯片及电路结构在DC~40 GHz宽频带范围内回波损耗≥17 dB,插入损耗≤0.7 dB,具有优异的射频传输性能。此外,此芯片和电路结构应用场景可拓展到任意单片微波集成电路(MMIC)与电路板互联结构中,应用频率可拓展到W波段的射频芯片键合互联结构。该文提出的芯片及电路互联结构射频性能优异,加工成本低,可靠性高,适用于高可靠微波产品。
一种加载寄生缝隙的Ku波段圆极化漏波天线
黄至源, 张云华, 赵晓雯
2025, 47(11): 4628-4636.   doi: 10.11999/JEIT250347
[摘要](158) [HTML全文](85) [PDF 6848KB](16)
摘要:
该文提出一种基于基片集成波导(SIW)的加载与辐射缝隙结构相同但尺寸缩小的寄生结构以克服开阻带问题同时改善阻抗匹配性能的Ku波段圆极化漏波天线设计方法。所设计的辐射缝隙能够有效激励圆极化波,而寄生缝隙则可在抑制开阻带效应的同时,展宽整体辐射的圆极化带宽。对加工的原型天线进行测试的结果表明,该天线在12.6~17.4 GHz频段内具有32%的3 dB轴比带宽,同时实现了–49°~14°的圆极化波束扫描,并且在频段内的增益保持稳定。与现有相近工作相比,扫描角度范围达到了最大。
极低频磁场对阿尔兹海默症小鼠Aβ42沉积及空间工作记忆相关神经振荡的影响
耿读艳, 刘澳格, 闫禹新, 郑卫然
2025, 47(11): 4637-4647.   doi: 10.11999/JEIT241106
[摘要](64) [HTML全文](28) [PDF 3195KB](11)
摘要:
极低频磁场(ELF-MF)已被证实可以对多种常见疾病产生积极影响,但其对阿尔茨海默病(AD)的影响仍然知之甚少。该文将免疫荧光检测、行为学和电生理学相结合,通过计算完成对象位置任务(OLT)的行为认知指数(CI),探究ELF-MF暴露对小鼠空间工作记忆(SWM)的影响;应用时频分布和相位-幅值耦合分析方法,探究小鼠进行OLT过程中海马CA1区局部场电位信号(LFPs)的theta频段和gamma频段神经振荡的变化规律;进一步通过免疫荧光技术定量分析了小鼠海马区域Aβ42的沉积情况,探究ELF-MF暴露对AD病理标志物的影响。此外,还分析了CI与海马CA1区theta频段和gamma频段神经振荡的时频分布及相位-幅值耦合之间的相关性,旨在探究ELF-MF对认知功能和神经振荡模式的调控机制。结果表明,ELF-MF可以减少AD小鼠海马区Aβ42含量,增强AD模型小鼠的SWM能力,且这种增强与小鼠SWM任务期间海马CA1区theta和gamma频段神经振荡的时频能量以及theta-gamma相位-幅值耦合增强有关。
非晶丝GMI磁传感器微加工制造方法
张波, 闻小龙, 万亚东, 张超, 李建华
2025, 47(11): 4648-4654.   doi: 10.11999/JEIT250338
[摘要](79) [HTML全文](49) [PDF 5408KB](10)
摘要:
与非晶带和非晶薄膜相比,非晶丝表现出更高的巨磁阻抗效应(GMI)性能,是制作GMI磁传感器的理想材料。然而,受限于其柔性异构的形态,非晶丝在器件制备过程中不易实现精准定位。另外,由于非晶丝润湿性差,焊接时接触电阻难以控制,器件性能一致性差。该文提出一种基于非晶丝的GMI磁传感器微加工制造方法,利用玻璃通孔作为对准标记和辅助固定,将非晶丝精确定位并固定在玻璃晶圆上,通过光刻、电镀等微加工工艺制备焊盘,实现非晶丝与焊盘之间的电互连,形成非晶丝的器件级加工与制造。采用绕线机在器件表面绕制信号拾取线圈,最终完成GMI磁传感器制备。该设计避免了直接在非晶丝上绕制信号拾取线圈产生的变形和应力积累问题,提高了非晶丝GMI磁传感器的可制造性。对制备的GMI磁传感器进行测试,结果表明该传感器在–1Oe~+1Oe具有良好的线性度和稳定性。
飞行保护头盔集成心冲击图的心率变异性监测装置研究与设计
赵彦鹏, 李法林, 李晅, 余海波, 曹征涛, 张翼
2025, 47(11): 4655-4664.   doi: 10.11999/JEIT250342
[摘要](324) [HTML全文](250) [PDF 2666KB](22)
摘要:
心率变异性通过分析心跳间期的微小波动反映自主神经系统的调节功能,是飞行员飞行监测中不可或缺的生理参数,尤其在疲劳分层、神经功能评估和应激预警方面具有独特价值。传统的基于心电图的心率变异性监测等方法应用于飞行环境下存在佩戴不便、监测难度大等问题。该研究设计了一种基于飞行保护头盔的心冲击图心率变异性监测装置,实现了对飞行员心脏机械活动的无创、连续监测,并采用小波分析方法对心冲击图信号进行多时间尺度分解,实现心率变异性分析。实验结果表明,该装置R-R间期监测指标与心电监测结果一致性较好,其中SDNN的一致性范围为95.80%,RMSSD的一致性范围为94.08%。后续将结合头盔式眼动监测、脑电监测等集成设计,实现飞行员飞行过程中的多维生理指标监测和数据融合,为飞行应激监测、飞行疲劳预警以及飞行认知负荷评估提供技术支撑。
编辑部公告
more >
学术动态
more >
作者服务中心
融媒体平台
more >
友情链接
more >

官方微信,欢迎关注

电子与信息学报

微信学术论坛群