Design of Reconfigurable FeFET-MUX and Its Application in Mapping
-
摘要: 目前以铁电晶体管(FeFET)为基础的存算一体逻辑电路的映射以阵列为主,该文提出一种以铁电晶体管-数据选择器(FeFET-MUX)为基本电路单元存算一体逻辑电路的实现方法。该方法主要包含两方面内容:(1) 提出一种可重构的FeFET-MUX电路,该电路具有结构共享和数据输入端可扩展的特点。(2) 提出适合该FeFET-MUX映射的逻辑函数分割方法,通过将待实现的逻辑函数表示成二元决策图(BDD),然后将BDD分割成适合FeFET-MUX映射的子BDD集合,最后完成逻辑函数用FeFET-MUX的映射。该文所提FeFET-MUX电路的逻辑功能用已有的FeFET模型进行仿真验证,用于映射的BDD分割算法用C++实现。实验结果表明,相比于传统的非结构共享二选一FeFET-MUX电路的映射结果,采用所提结构共享FeFET-MUX电路结合BDD分割算法,FeFET的使用数量平均可以减少79.9%。Abstract:
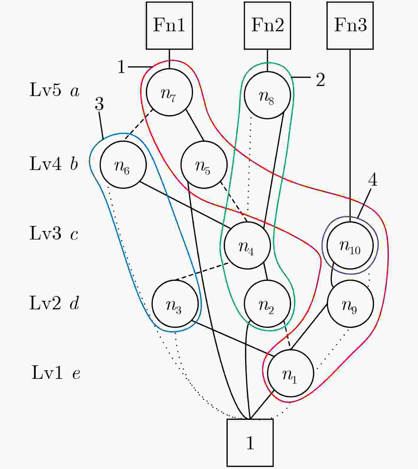
Objective The growing demand for massive computing power and big data processing has exposed bottlenecks in conventional Von Neumann architectures, known as the “storage wall” and the “power wall”. Computing-in-Memory (CiM) offers a promising solution by integrating storage and computation, thereby reducing delays and energy consumption caused by data transfer. Emerging non-volatile memories used in CiM circuit design include Spin Transfer Torque Magnetic Random Access Memory (STT-MRAM), Phase Change Memory (PCM), Resistive Random Access Memory (ReRAM), and Ferroelectric Field-Effect Transistors (FeFETs). FeFETs have become key components in CiM designs due to their non-volatile storage capability, low power consumption, high on-off ratio, compatibility with Complementary Metal-Oxide-Semiconductor (CMOS) processes, and voltage-driven writing mechanism. Various FeFET-based CiM circuit designs have been proposed, with most focusing on array-based structures. However, the potential of FeFET-based CiM logic circuits remains underexplored. This study proposes a methodology for mapping Boolean functions onto FeFET-based CiM logic circuits by designing a reconfigurable FeFET Multiplexer (FeFET-MUX) and developing corresponding Boolean function partitioning algorithms. Methods The reconfigurable FeFET-MUX consists of an elementary 2-to-1 MUX, as shown in Fig. 2(a) , with multiple data inputs and selection inputs, illustrated inFig. 2(b) . The sub-circuit enclosed within the dashed box inFig. 2(b) functions as the storage element of the FeFET-MUX and is time-shared by the data pathways. To ensure correct logical function execution, at any given time, no more than one address input is permitted to write to the FeFETs, and no more than one data input is selected simultaneously. Logical functions can be expressed using Binary Decision Diagrams (BDDs). By replacing each node in the BDD with a 2-to-1 MUX, the corresponding functions can be implemented using 2-to-1 MUX circuits. This technique is also applicable to mapping with 2-to-1 FeFET-MUXs; however, its major limitation is the relatively high area overhead. In this work, instead of replacing each individual BDD node with a 2-to-1 MUX, a sub-BDD is mapped onto the proposed FeFET-MUX, reducing area consumption. To prevent logic errors caused by incorrect rewriting of stored data due to the shared structure, a BDD partitioning approach is proposed. After applying specific partitioning rules, each sub-BDD can be independently implemented using the proposed FeFET-MUX, ensuring that stored data is preserved until it is no longer needed, thereby maintaining the logical function’s correctness.The operation of the proposed FeFET-MUX follows a three-phase cycle: (1) The polarization states of the two FeFETs are programmed by applying complementary gate pulses Vg1 and Vg2; (2) During each computation cycle, the selection gate pulses are temporally modulated to select distinct input data, which are routed to the FeFET drains; (3) Finally, the output enable pulses control the transmission of the computed result to the inverter’s output for storage. The proposed BDD partitioning algorithms are presented in Algorithm 1 and Algorithm 2. The methodology proceeds as follows: First, the target BDD, constructed using the Colorado University Decision Diagram (CUDD) library, is traversed through a breadth-first search. Next, upon identifying the starting node of a sub-BDD via the subroutine “find_node_start”, the subroutine “Extend_node” iteratively evaluates candidate nodes for inclusion in the current sub-BDD. After the traversal is complete, Algorithm 1 invokes the subroutine “Out_node_check” to determine whether additional sub-BDDs need to be created.Results and Discussions The proposed algorithms are implemented in C++ and executed on an Ubuntu 24.04 platform with an Intel Ultra 7 processor and 32 GB of memory. The compiler used is g++, version 13.3.0. Test benchmarks are selected from open-source designs described in Verilog. Prior to mapping, the benchmarks are converted into Reduced Ordered Binary Decision Diagrams (ROBDDs) using the CUDD library. Node information is extracted and stored in data structures, and ROBDD partitioning is performed using the proposed algorithms. The experimental results show that the number of sub-BDDs is not directly determined by the number of circuit inputs or outputs but is associated with the maximum number of nodes present at the same level within the BDD. This relationship results from the constraint that each sub-BDD cannot contain multiple nodes at the same level. For example, ROBDDs such as “parity,” which contain only one sub-BDD, exhibit a maximum of one node per level. However, the reverse does not always apply. For example, the circuit “i3” has a maximum of one node per level but still requires multiple sub-BDDs due to the presence of nodes with level differences greater than one, which violate the partitioning constraint and necessitate additional sub-BDDs to ensure correct function mapping. By integrating the reconfigurable FeFET-MUX with the proposed partitioning algorithms, the number of FeFET devices required decreases by an average of 79.9% compared with conventional mapping approaches ( Table 2 ). In addition, the methodology successfully processes large-scale benchmarks, such as “i10,” which contains over 30,000 BDD nodes, demonstrating its scalability.Conclusion This work presents a novel methodology for mapping Boolean functions to FeFET-based CiM logic circuits. The approach consists of two core contributions: (1) A reconfigurable FeFET-MUX circuit is designed, featuring shared FeFET components and a common output drive stage. This configuration consolidates multiple 2-to-1 MUX functions into a single circuit, significantly improving resource utilization. (2) A BDD partitioning strategy is proposed, in which the Boolean logic circuit is partitioned into sub-BDDs, each implemented by a corresponding FeFET-MUX. Experimental results based on open-source logic synthesis benchmarks demonstrate an average reduction of 79.9% in FeFET usage ( Table 2 ) compared to conventional mapping techniques. This is particularly important because FeFET devices occupy considerably more area than conventional Metal-Oxide-Semiconductor (MOS) transistors. Reducing FeFET usage leads to substantial area savings at the circuit level. Moreover, the proposed algorithms effectively process large and complex designs, including circuits exceeding 30,000 BDD nodes, confirming their applicability to large-scale CiM logic implementations. -
表 1 单个二选一FeFET-MUX的功耗和延迟
S Da Db 平均功耗(nW) 延迟(ns) 0 0 0 29.4 1.1 0 0 1 76.0 1.2 0 1 0 29.6 1.1 0 1 1 76.5 1.3 1 0 0 29.4 1.1 1 0 1 29.6 1.1 1 1 0 76.0 1.3 1 1 1 76.5 1.3 avg 52.9 1.2 1 BDD_Partitioning
输入:ROBDD ${\mathcal{B}} $ 输出:${\mathcal{B}} $ with sub_bdds marks 1. i=0; 2. Nst=find_start_node(${\mathcal{B}} $); 3. WHILE(Nst!=Null_node) { 4. Extend_node(${\mathcal{B}} $, Nst, i); 5. i++; 6. Nst=find_start_node(${\mathcal{B}} $); } 7. Out_node_check(${\mathcal{B}} $, sub_bdds); 2 Extend_node(${\mathcal{B}} $, Nst, i)
输入:ROBDD bdd ${\mathcal{B}} $, Nst, i 输出:${\mathcal{B}} $ with sub_bdds marks 1. WHILE(Nst!=const_node) { 2. IF Select(Nst.T) && Select(Nst.E) THEN 3. Nst=Add_nLv_node(${\mathcal{B}} $, L(Nst), i); 4. ELSE { 5. selT=0; selE=0; 6. ΔL1=L(Nst)–L(Nst.T); 7. selT=Mul_sel(${\mathcal{B}} $, Nst.T, ΔL1); 8. ΔL2=L(Nst)-L(Nst.E); 9. selE=Mul_sel(${\mathcal{B}} $, Nst.E, ΔL2); 10. IF(selT || selE) THEN 11. Nst =Node_sel(${\mathcal{B}} $, Nst, ΔL1, ΔL2, selT, selE, i); 12. ELSE Nst=Add_other_node(${\mathcal{B}} $, L(Nst), i); } } 表 2 基准电路的算法测试结果
电路 I/O ROBDD
节点数(Nbdd)ROBDD
单层最大节点数子BDD数
(Nsub_bdd)子BDD
最大节点数FeTRd(%) 时间(s) 5xp1 7/10 55 11 18 6 67.2 1.010E–4 alu4 14/8 733 123 132 13 82.0 2.701E–3 apex1 45/45 1423 247 257 21 81.9 1.100E–2 apex4 9/19 903 348 358 7 60.4 8.434E–3 b9 41/21 126 19 36 13 71.4 3.820E–4 clip 9/5 146 41 47 8 67.8 3.440E–4 cm163a 16/5 33 7 8 9 75.8 1.160E–4 cordic 23/2 95 6 8 20 91.6 1.360E–4 dalu 75/16 803 142 142 24 82.3 5.169E–3 e64 65/65 368 30 65 60 82.3 9.750E–4 ex4p 12828 710 34 115 27 83.8 4.199E–3 frg2 143/139 1274 74 217 36 83.0 1.100E–2 misex3 14/14 782 141 168 12 78.5 4.326E–3 parity 16/1 17 1 1 16 94.1 6.100E–5 pair 173/173 3872 170 580 52 85.0 8.200E–2 seq 41/35 2025 276 405 19 80.0 2.700E–2 squar5 5/8 39 12 15 4 61.5 1.050E–4 table5 17/15 693 105 120 15 82.7 2.758E–3 too_large 38/3 777 73 90 23 88.4 2.726E–3 vda 17/39 506 124 127 11 74.9 2.074E–3 x3 135/99 697 79 148 40 78.8 6.481E–3 x4 94/71 544 55 124 21 77.2 2.753E–3 i2 201/1 584 24 36 116 93.8 2.028E–3 i3 132/6 133 1 10 37 92.5 2.250E–4 i9 88/63 925 32 264 19 71.5 1.400E–2 i10 257/224 33995 1831 3455 68 89.8 5.402 avg 79.9 -
[1] LI Yueting, BAI Tianshuo, XU Xinyi, et al. A survey of MRAM-centric computing: From near memory to in memory[J]. IEEE Transactions on Emerging Topics in Computing, 2023, 11(2): 318–330. doi: 10.1109/TETC.2022.3214833. [2] ANTOLINI A, LICO A, SCARSELLI E F, et al. An embedded PCM peripheral unit adding analog MAC in-memory computing feature addressing non-linearity and time drift compensation[C]. ESSCIRC 2022-IEEE 48th European Solid State Circuits Conference (ESSCIRC), Milan, Italy, 2022: 109–112. doi: 10.1109/ESSCIRC55480.2022.9911447. [3] DING Zhetao, LI Xueyang, JIN Chengji, et al. Experimental demonstration of non-volatile Boolean logic with field configurable 1FeFET-1RRAM technology[J]. IEEE Electron Device Letters, 2024, 45(6): 1084–1087. doi: 10.1109/LED.2024.3390403. [4] BEYER S, DÜNKEL S, TRENTZSCH M, et al. FeFET: A versatile CMOS compatible device with game-changing potential[C]. 2020 IEEE International Memory Workshop (IMW), Dresden, Germany, 2020: 1–4. doi: 10.1109/IMW48823.2020.9108150. [5] MARCHAND C, NICOLAS A, MATRANGOLO P A, et al. FeFET based Logic-in-Memory design methodologies, tools and open challenges[C]. 2023 IFIP/IEEE 31st International Conference on Very Large Scale Integration (VLSI-SoC), Dubai, United Arab Emirates, 2023: 1–6. doi: 10.1109/VLSI-SoC57769.2023.10321901. [6] JIANG Yuxiao, NI Kai, KÄMPFE T, et al. CSA-CiM: Enhancing multifunctional computing-in-memory with configurable sense amplifiers[J]. IEEE Transactions on Computer-Aided Design of Integrated Circuits and Systems, 2025, 44(5): 1869–1873. doi: 10.1109/TCAD.2024.3506864. [7] LIU Rui, ZHANG Xiaoyu, XIE Zhiwen, et al. FeCrypto: Instruction set architecture for cryptographic algorithms based on FeFET-based in-memory computing[J]. IEEE Transactions on Computer-Aided Design of Integrated Circuits and Systems, 2023, 42(9): 2889–2902. doi: 10.1109/TCAD.2022.3233736. [8] YAN Aibin, CHEN Yu, GAO Zhongyu, et al. FeMPIM: A FeFET-based multifunctional processing-in-memory cell[J]. IEEE Transactions on Circuits and Systems II: Express Briefs, 2024, 71(4): 2299–2303. doi: 10.1109/TCSII.2023.3331267. [9] LALENI N, MÜLLER F, CUÑARRO G, et al. A high-efficiency charge-domain compute-in-memory 1F1C macro using 2-bit FeFET cells for DNN processing[J]. IEEE Journal on Exploratory Solid-State Computational Devices and Circuits, 2024, 10: 153–160. doi: 10.1109/JXCDC.2024.3495612. [10] HUANG Yuanyu, HUANG P T, LEE P Y, et al. A new approach for reconfigurable multifunction logic-in-memory using complementary ferroelectric-FET (CFeFET)[J]. IEEE Transactions on Electron Devices, 2023, 70(8): 4497–4500. doi: 10.1109/TED.2023.3287941. [11] BREYER E T, MULAOSMANOVIC H, TROMMER J, et al. Compact FeFET circuit building blocks for fast and efficient nonvolatile logic-in-memory[J]. IEEE Journal of the Electron Devices Society, 2020, 8: 748–756. doi: 10.1109/JEDS.2020.2987084. [12] RAMANUJAM S and BURLESON W. Reconfiguring the mux-based arbiter PUF using FeFETs[C]. 2021 22nd International Symposium on Quality Electronic Design (ISQED), Santa Clara, USA, 2021: 257–262. doi: 10.1109/ISQED51717.2021.9424328. [13] DÜNKEL S, TRENTZSCH M, RICHTER R, et al. A FeFET based super-low-power ultra-fast embedded NVM technology for 22nm FDSOI and beyond[C]. 2017 IEEE International Electron Devices Meeting (IEDM), San Francisco, USA, 2017: 19.7. 1–19.7. 4. doi: 10.1109/IEDM.2017.8268425. [14] AZIZ A, GHOSH S, DATTA S, et al. Physics-based circuit-compatible SPICE model for ferroelectric transistors[J]. IEEE Electron Device Letters, 2016, 37(6): 805–808. doi: 10.1109/LED.2016.2558149. [15] NI Kai, JERRY M, SMITH J A, et al. A circuit compatible accurate compact model for ferroelectric-FETs[C]. 2018 IEEE Symposium on VLSI Technology, Honolulu, USA, 2018: 131–132. doi: 10.1109/VLSIT.2018.8510622. [16] DENG Shan, YIN Guodong, CHAKRABORTY W, et al. A comprehensive model for ferroelectric FET capturing the key behaviors: Scalability, variation, stochasticity, and accumulation[C]. 2020 IEEE Symposium on VLSI Technology, Honolulu, USA, 2020: 1–2. doi: 10.1109/VLSITechnology18217.2020.9265014. [17] YIN Xunzhao, CHEN Xiaoming, NIEMIER M, et al. Ferroelectric FETs-based nonvolatile logic-in-memory circuits[J]. IEEE Transactions on Very Large Scale Integration (VLSI) Systems, 2019, 27(1): 159–172. doi: 10.1109/TVLSI.2018.2871119. [18] CHAKRABORTI S, CHOWDHARY P V, DATTA K, et al. BDD based synthesis of Boolean functions using memristors[C]. 2014 9th International Design and Test Symposium (IDT), Algeries, Algeria, 2014: 136–141. doi: 10.1109/IDT.2014.7038601. [19] CHAKRABORTY A, GUPTA P S, SINGH R, et al. BDD-based synthesis approach for in-memory logic realization utilizing Memristor Aided loGIC (MAGIC)[J]. Integration, 2021, 81: 254–267. doi: 10.1016/j.vlsi.2021.08.002. -
下载:
下载: