ReXNet: A Trustworthy Framework for Space-Air Security Integrating Uncertainty Quantification and Explainability
-
摘要: 随着空天地一体化网络日益发展,成为国家战略前沿,其深度融合的卫星遥感、导航定位和通信应用,均对人工智能的可靠性与透明度提出了严苛要求。特别地,空天信息系统面临着物理层、网络层到应用层的复合式安全挑战,在这些高风险敏感性场景中,发展高稳健性与可信度的智能检测技术已成为当务之急。为应对这一挑战,该文提出了一个新颖的可信人工智能框架ReXNet。该框架深度整合了不确定性量化(UQ)与可解释人工智能(XAI)技术,并允许灵活替换骨干模型,以适配多样化的空天安全任务。通过在UAV-GCS入侵检测、C-MAPSS故障诊断及ADS-B注入攻击等空天地三层典型安全场景数据集上的系统性实验验证,ReXNet框架在保持高精度异常检测性能的同时,能有效量化预测置信度、识别模型知识边界外的未知样本,并为决策提供逻辑一致且可追溯的归因解释。该框架的模块化与灵活性创新,为解决人工智能在安全关键系统中的应用瓶颈提供了有效的技术路径。通过系统性地提升模型的可靠性与透明度,本研究旨在推动智能检测技术在空天安全领域的应用范式从追求单一的“高精度”向兼顾“高可信”转变,显著增强了其场景适用性与整体可信度。Abstract:
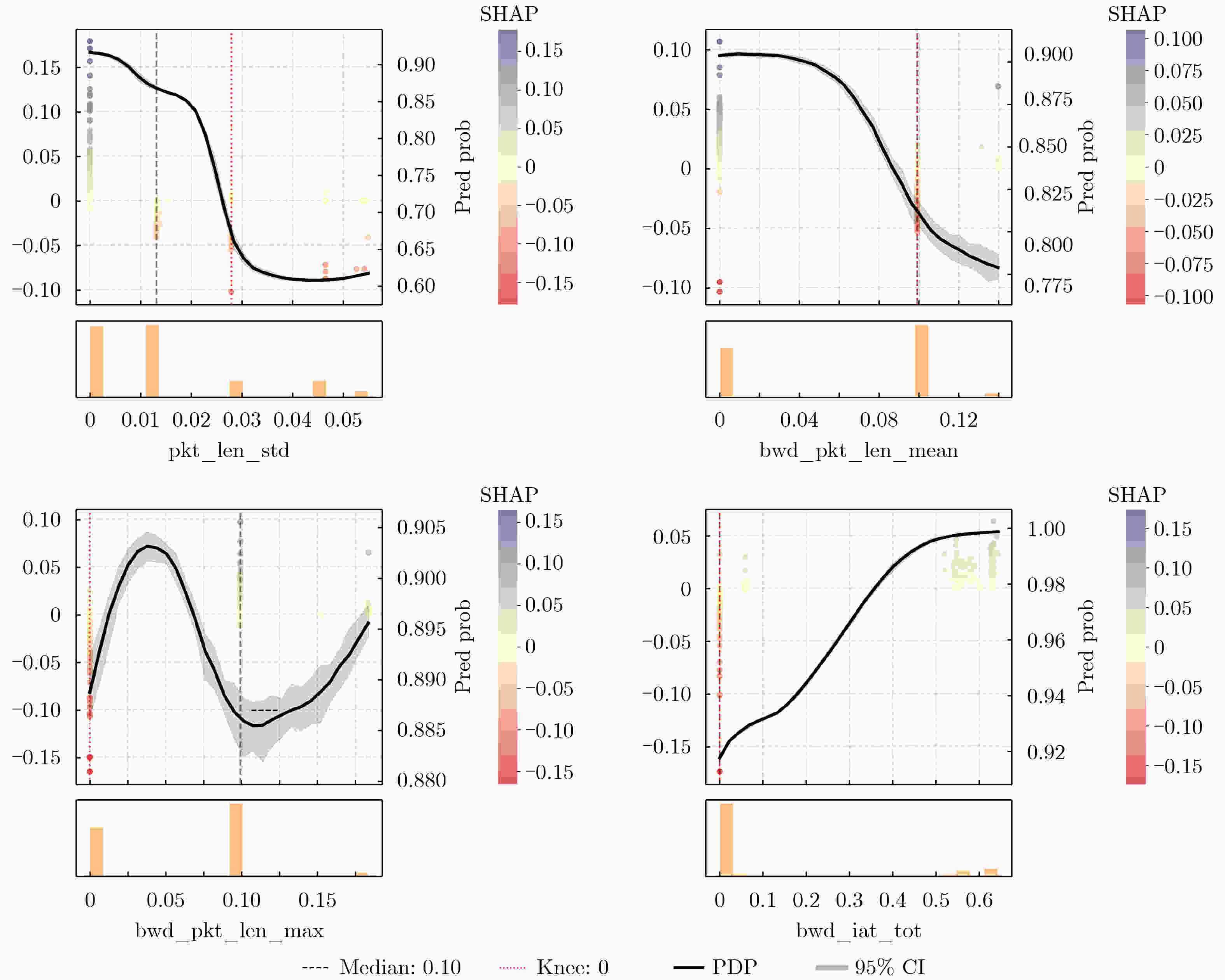
Objective The space-air-ground integrated network (SAGIN) has emerged as a new strategic infrastructure for national development, yet its security vulnerabilities are becoming increasingly prominent. Each layer of the SAGIN, namely the physical, network, and application layers, faces distinct security challenges that require targeted solutions. Given the high demand for both predictive accuracy and decision transparency in aerospace scenarios, there is an urgent need for more robust, reliable, and interpretable intelligent techniques to ensure network security and trustworthiness. Methods This study proposes a detection framework that deeply integrates Uncertainty Quantification (UQ) and Explainable Artificial Intelligence (XAI). On the front end, the framework employs a Bayesian deep learning approach based on Monte Carlo Dropout, enabling probabilistic modeling of predictions. This allows for the separation and quantification of epistemic uncertainty and aleatoric uncertainty, thereby improving model reliability. On the back end, SHAP and LIME are incorporated to provide clear and trustworthy feature attribution for each model decision, enhancing interpretability and transparency. Moreover, the middle layer of the framework allows flexible substitution of specific deep learning backbones to adapt to various space and aerospace application scenarios. Results and Discussions Extensive experiments were conducted on representative space–air security datasets, including UAV swarm fault detection, ADS-B injection attacks , and network fraud detection . The results demonstrate that the proposed framework achieves high-precision anomaly detection while effectively evaluating prediction confidence and identifying unknown samples beyond the model’s knowledge boundaries. Furthermore, the framework provides logically consistent and traceable explanations for model decisions, offering both interpretive depth and operational reliability. These results confirm that the joint use of UQ and XAI significantly enhances the robustness and trustworthiness of intelligent models in aerospace security applications. Conclusions This study systematically enhances the reliability and transparency of anomaly detection models in the space-air domain, marking a paradigm shift in the application of artificial intelligence from solely pursuing high accuracy to emphasizing high trustworthiness. Future work will focus on advancing the framework toward real-world deployment, emphasizing real-time processing, lightweight implementation, and resource-constrained environments such as on-orbit or onboard systems. These efforts aim to enable SAGINs to operate with greater security, autonomy, and efficiency, contributing to the sustainable and intelligent development of future space–air information networks. -
表 1 不同模型在 UAV-GCS-IDS 数据集上的性能对比
模型类别 模型架构 Accuracy F1-Score 基准模型 TabNet 0.909 0.952 XGBoost 0.929 0.962 Transformer 0.910 0.953 骨干模型 DNN 0.912 0.954 CNN 0.907 0.950 LSTM 0.903 0.948 ResNet 0.911 0.953 GatedNet 0.913 0.955 ReXNet 模式一(EU 量化) B-DNN 0.919 0.957 B-CNN 0.911 0.953 B-LSTM 0.909 0.951 B-ResNet 0.912 0.961 B-GatedNet 0.912 0.954 ReXNet 模式二(完整 UQ) Full-DNN 0.925 0.960 Full-CNN 0.917 0.956 Full-LSTM 0.913 0.954 Full-ResNet 0.933 0.965 Full- GatedNet 0.927 0.961 表 2 不同模型在SAGIN不同层次上的F1-Score性能对比
模型类别 模型架构 数据集 物理层 网络层 应用层 C-MAPSS T-ITS ADS-B GUIDE 基准模型 TabNet 0.836 0.924 0.986 0.772 XGBoost 0.877 0.937 0.985 0.917 Transformer 0.689 0.919 0.653 0.744 骨干模型 DNN 0.940 0.938 0.971 0.915 CNN 0.938 0.945 0.977 0.913 LSTM 0.941 0.950 0.984 0.918 ResNet 0.942 0.951 0.979 0.921 GatedNet 0.940 0.949 0.967 0.919 ReXNet 模式一(EU 量化) B-DNN 0.959 0.941 0.977 0.922 B-CNN 0.955 0.948 0.978 0.920 B-LSTM 0.957 0.954 0.985 0.925 B-ResNet 0.960 0.954 0.982 0.928 B-GatedNet 0.958 0.952 0.981 0.926 ReXNet 模式二(完整 UQ) Full-DNN 0.986 0.946 0.979 0.931 Full-CNN 0.985 0.952 0.980 0.929 Full-LSTM 0.987 0.956 0.986 0.934 Full-ResNet 0.990 0.957 0.989 0.938 Full-GatedNet 0.988 0.955 0.983 0.936 -
[1] 刘光毅, 张慧敏, 佟舟, 等. 6G移动信息网络架构: 从通信到一切皆服务的变迁[J]. 中国科学: 信息科学, 2024, 54(5): 1236–1266. doi: 10.1360/SSI-2023-0339.LIU Guangyi, ZHANG Huimin, TONG Zhou, et al. 6G mobile information network architecture: Migrate from communication to XaaS[J]. Scientia Sinica Informationis, 2024, 54(5): 1236–1266. doi: 10.1360/SSI-2023-0339. [2] 徐金雷, 赵俊湦, 卢华兵, 等. 面向6G的多维扩展通感一体化研究综述[J]. 电子与信息学报, 2024, 46(5): 1672–1683. doi: 10.11999/JEIT231045.XU Jinlei, ZHAO Junsheng, LU Huabing, et al. An overview on multi-dimensional expanded integrated sensing and communication for 6G[J]. Journal of Electronics & Information Technology, 2024, 46(5): 1672–1683. doi: 10.11999/JEIT231045. [3] 尹浩, 黄宇红, 韩林丛, 等. 6G通信–感知–计算融合网络的思考[J]. 中国科学: 信息科学, 2023, 53(9): 1838–1842. doi: 10.1360/SSI-2023-0135.YIN Hao, HUANG Yuhong, HAN Lincong, et al. Thoughts on 6G integrated communication, sensing and computing networks[J]. Scientia Sinica Informationis, 2023, 53(9): 1838–1842. doi: 10.1360/SSI-2023-0135. [4] ZHUO Ming, LIU Leyuan, ZHOU Shijie, et al. Survey on security issues of routing and anomaly detection for space information networks[J]. Scientific Reports, 2021, 11(1): 22261. doi: 10.1038/s41598-021-01638-z. [5] LIU Zhuang, QIAN Shiyao, CAO Shuirong, et al. Mitigating age-related bias in large language models: Strategies for responsible artificial intelligence development[J]. INFORMS Journal on Computing, 2025. doi: 10.1287/ijoc.2024.0645. (查阅网上资料,未找到本条文献卷期页码信息,请确认). [6] XIAO Yue, YE Ziqiang, WU Mingming, et al. Space-air-ground integrated wireless networks for 6G: Basics, key technologies, and future trends[J]. IEEE Journal on Selected Areas in Communications, 2024, 42(12): 3327–3354. doi: 10.1109/JSAC.2024.3492720. [7] ZHANG Da, GAO Junyu, and LI Xuelong. Learning long-range relationships for temporal aircraft anomaly detection[J]. IEEE Transactions on Aerospace and Electronic Systems, 2024, 60(5): 6385–6395. doi: 10.1109/TAES.2024.3404360. [8] WANG Xuhui, LIN W, ZHAO Jun, et al. AdaFuse: Memory-augmented adaptive fusion for few-shot fraud detection in heterogeneous graphs[J]. Annals of Operations Research, 2026: 1–27. doi: 10.1007/s10479-026-07043-x. (查阅网上资料,未找到本条文献卷期和页码信息,请确认). [9] 杨宏宇, 宋成瑜, 王朋, 等. 洋葱路由器网站指纹攻击与防御研究综述[J]. 电子与信息学报, 2024, 46(9): 3474–3489. doi: 10.11999/JEIT240091.YANG Hongyu, SONG Chengyu, WANG Peng, et al. Website fingerprinting attacks and defenses on tor: A survey[J]. Journal of Electronics & Information Technology, 2024, 46(9): 3474–3489. doi: 10.11999/JEIT240091. [10] KHAN H A, KHAN H, GHAFOOR S, et al. A survey on security of automatic dependent surveillance-broadcast (ADS-B) protocol: Challenges, potential solutions, and future directions[J]. IEEE Communications Surveys & Tutorials, 2025, 27(5): 3199–3226. doi: 10.1109/COMST.2024.3513213. [11] WANG Qianyu, TSAI W T, SHI Tianyu, et al. Catch me if you can: A multi-agent synthetic fraud detection framework for complex networks[C]. 2025 IEEE 41st International Conference on Data Engineering (ICDE), Hong Kong, China, 2025: 3629–3641. doi: 10.1109/ICDE65448.2025.00271. [12] 胡杨林, 张天魁, 李博, 等. 无人机使能的通信感知一体化组网与技术研究综述[J]. 电子与信息学报, 2025, 47(4): 859–875. doi: 10.11999/JEIT241116.HU Yanglin, ZHANG Tiankui, LI Bo, et al. A survey on UAV-enabled integrated sensing and communication networking and technologies[J]. Journal of Electronics & Information Technology, 2025, 47(4): 859–875. doi: 10.11999/JEIT241116. [13] 王赞, 陈晓, 路辉, 等. 面向有限数据和多任务场景的无人机故障诊断[J/OL]. https://doi.org/10.13976/j.cnki.xk.2025.1311, 2025.WANG Zan, CHEN Xiao, LU Hui, et al. UAV fault diagnosis for limited data and multi task scenarios[J/OL]. https://doi.org/10.13976/j.cnki.xk.2025.1311, 2025. [14] ZHENG Yunfei, ZHANG Xuejun, TAN Yuanhao, et al. Transformer-based identification for ADS-B transmitters in open–time sets[J]. Chinese Journal of Aeronautics, 2025, 38(8): 103418. doi: 10.1016/j.cja.2025.103418. [15] WU Yuhe, CHEN Yuran, LIU Zhuang, et al. Enhancing financial decision-making under cyber threats: A dual-branch framework integrating Bayesian deep learning and explainable AI[J]. Annals of Operations Research, 2025: 1–33. doi: 10.1007/s10479-025-06973-2. (查阅网上资料,未找到本条文献卷期和页码信息,请确认). [16] HE Wenchong, JIANG Zhe, XIAO Tingsong, et al. A survey on uncertainty quantification methods for deep learning[J]. ACM Computing Surveys, 2026, 58(7): 179. doi: 10.1145/3786319. [17] BASORA L, VIENS A, CHAO M A, et al. A benchmark on uncertainty quantification for deep learning prognostics[J]. Reliability Engineering & System Safety, 2025, 253: 110513. doi: 10.1016/j.ress.2024.110513. [18] CHEN Rentong, WANG Shaoping, ZHANG Chao, et al. Component uncertainty importance measure in complex multi-state system considering epistemic uncertainties[J]. Chinese Journal of Aeronautics, 2024, 37(12): 31–54. doi: 10.1016/j.cja.2024.05.024. [19] RAZAVI M, MAVADDATI S, and KOOHI H. ResNet deep models and transfer learning technique for classification and quality detection of rice cultivars[J]. Expert Systems with Applications, 2024, 247: 123276. doi: 10.1016/j.eswa.2024.123276. [20] XUE Lanqing, LI Xiaopeng, and ZHANG N L. Not all attention is needed: Gated attention network for sequence data[C]. Proceedings of the Thirty-Fourth AAAI Conference on Artificial Intelligence, New York Hilton Midtown, USA, 2020: 6550–6557. doi: 10.1609/aaai.v34i04.6129. [21] HADI H J and HADI H J. UAV-GCS intrusion detection dataset (UAV-GCS-IDS)[EB/OL]. https://doi.org/10.6084/m9.figshare.29608541.v1, 2025. [22] WU Chuanwen, ZHANG Shumei, BAO Xiaoli, et al. Risk assessment approach of electronic component selection in equipment R&D Using the XGBoost algorithm and domain knowledge[J]. Processes, 2024, 12(8): 1716. doi: 10.3390/pr12081716. [23] DONG Yutong, JIANG Hongkai, MU Mingzhe, et al. Multi-sensor data fusion-enabled lightweight convolutional double regularization contrast transformer for aerospace bearing small samples fault diagnosis[J]. Advanced Engineering Informatics, 2024, 62: 102573. doi: 10.1016/j.aei.2024.102573. [24] ARIK S Ö and PFISTER T. TabNet: Attentive interpretable tabular learning[C]. Proceedings of the Thirty-Fifth AAAI Conference on Artificial Intelligence, 2021: 6679–6687. doi: 10.1609/aaai.v35i8.16826. [25] PEBRIANTI D, KHALANI Z, and RUSDAH. Predictive maintenance in aerospace industry using convolutional neural network[C]. 2024 9th International Conference on Mechatronics Engineering (ICOM), Kuala Lumpur, Malaysia, 2024: 157–162. doi: 10.1109/ICOM61675.2024.10652505. -
下载:
下载: