高级搜索

留言板

尊敬的读者、作者、审稿人, 关于本刊的投稿、审稿、编辑和出版的任何问题, 您可以本页添加留言。我们将尽快给您答复。谢谢您的支持!

姓名
邮箱
手机号码
标题
留言内容
验证码

混合网络攻击下车辆队列的无模型自适应弹性控制

韩乔妮 马建国 李鹏 左志强

韩乔妮, 马建国, 李鹏, 左志强. 混合网络攻击下车辆队列的无模型自适应弹性控制[J]. 电子与信息学报. doi: 10.11999/JEIT251135
引用本文: 韩乔妮, 马建国, 李鹏, 左志强. 混合网络攻击下车辆队列的无模型自适应弹性控制[J]. 电子与信息学报. doi: 10.11999/JEIT251135
HAN Qiaoni, MA Jianguo, LI Peng, ZUO Zhiqiang. Model-Free Adaptive Resilient Control of Vehicle Platoons Against Hybrid Cyberattacks[J]. Journal of Electronics & Information Technology. doi: 10.11999/JEIT251135
Citation: HAN Qiaoni, MA Jianguo, LI Peng, ZUO Zhiqiang. Model-Free Adaptive Resilient Control of Vehicle Platoons Against Hybrid Cyberattacks[J]. Journal of Electronics & Information Technology. doi: 10.11999/JEIT251135

混合网络攻击下车辆队列的无模型自适应弹性控制

doi: 10.11999/JEIT251135 cstr: 32379.14.JEIT251135
基金项目: 国家自然科学基金 (62473280, 62403350),中国博士后科学基金资助项目 (2024M762356)
详细信息
    作者简介:

    韩乔妮:女,副教授,博士,主要研究方向为无线通信、边缘计算、分布式控制及应用

    马建国:男,硕士生,主要研究方向为网联车辆队列、弹性控制、数据驱动控制

    李鹏:男,助理研究员,博士,主要研究方向为模型预测控制、鲁棒控制、智能网联车辆

    左志强:男,教授,博士,主要研究方向为模型预测控制、数据驱动控制、无人集群系统

    通讯作者:

    左志强 zqzuo@tju.edu.cn

  • 中图分类号: TP273

Model-Free Adaptive Resilient Control of Vehicle Platoons Against Hybrid Cyberattacks

Funds: The National Natural Science Foundation of China (62473280, 62403350), The China Postdoctoral Science Foundation (2024M762356)
  • 摘要: 随着智能交通系统的快速发展,网联车辆队列作为其核心组成,在提升交通效率、行车安全性和能源利用率方面展现出巨大潜力。通过车辆间的信息交互与协同控制,车辆队列能够实现安全高效跟驰。然而,通信网络的开放性和脆弱性,使得车辆队列容易受到网络攻击的威胁,如拒绝服务 (Denial of Service, DoS) 和虚假数据注入 (False Data Injection, FDI) 等攻击。这些攻击可能导致信息中断或篡改,严重威胁车辆队列系统系统的安全性和稳定性。针对网络攻击下网联车辆队列的弹性控制问题,该文研究由DoS和FDI构成的混合攻击下基于攻击补偿的无模型自适应控制方法。首先,建立异构非线性纵向车辆动力学模型,并构建DoS与FDI共存的混合攻击模型。然后,分析混合攻击对伪梯度参数估计器的影响,设计DoS攻击期间的估计器更新策略,并构建基于历史控制输入信息的攻击补偿机制,以提升DoS攻击下的控制效果。理论分析表明,系统跟踪误差在混合攻击下可实现有界性。仿真实验验证,所提方法有效保障了非线性车辆队列在混合攻击下的跟踪性能。
  • 图  1  混合攻击下基于攻击补偿的车辆队列的MFAC框图

    图  2  混合攻击设置

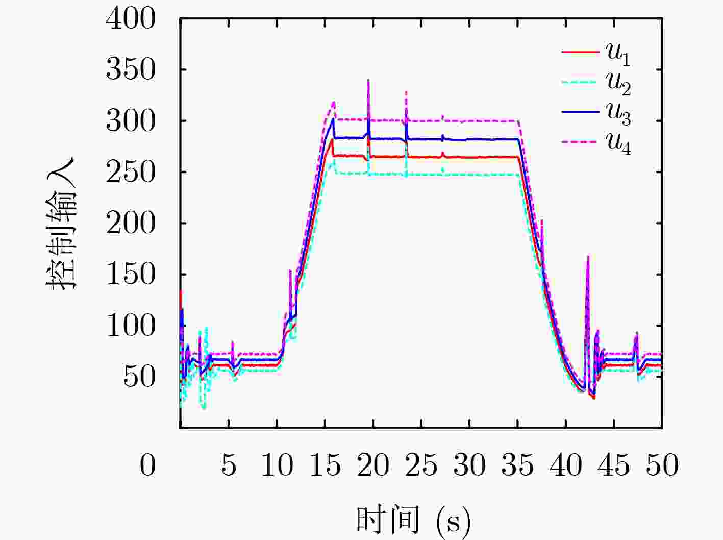
    图  3  混合攻击下跟随车辆的控制输入曲线

    图  4  车辆队列在混合攻击下的表现

    图  5  车辆队列在混合攻击下不应用攻击补偿机制的表现

    图  6  车辆队列的平均跟踪误差在不同程度FDI攻击下的表现

  • [1] 于树友, 冯阳阳, 曲婷, 等. 车辆队列协同控制综述[J]. 控制与决策, 2024, 39(12): 3889–3909. doi: 10.13195/j.kzyjc.2023.1209.

    YU Shuyou, FENG Yangyang, QU Ting, et al. A survey of cooperative control of vehicle platoons[J]. Control and Decision, 2024, 39(12): 3889–3909. doi: 10.13195/j.kzyjc.2023.1209.
    [2] 吴彦宏, 左志强, 王一晶, 等. 基于数据驱动的智能网联车辆队列控制综述[J]. 控制与决策, 2025, 40(12): 3489–3508. doi: 10.13195/j.kzyjc.2025.0561.

    WU Yanhong, ZUO Zhiqiang, WANG Yijing, et al. A survey of data-driven control for connected and autonomous vehicles[J]. Control and Decision, 2025, 40(12): 3489–3508. doi: 10.13195/j.kzyjc.2025.0561.
    [3] SUN Xiaoqiang, YU F R, and ZHANG Peng. A survey on cyber-security of connected and autonomous vehicles (CAVs)[J]. IEEE Transactions on Intelligent Transportation Systems, 2022, 23(7): 6240–6259. doi: 10.1109/tits.2021.3085297.
    [4] 赵国锋, 吴昊, 王杉杉, 等. 车联网POI查询中的位置隐私和查询隐私联合保护机制[J]. 电子与信息学报, 2024, 46(1): 155–164. doi: 10.11999/JEIT221599.

    ZHAO Guofeng, WU Hao, WANG Shanshan, et al. A location privacy and query privacy joint protection scheme for POI query in vehicular networks[J]. Journal of Electronics & Information Technology, 2024, 46(1): 155–164. doi: 10.11999/JEIT221599.
    [5] GE Xiaohua, HAN Qinglong, WU Qing, et al. Resilient and safe platooning control of connected automated vehicles against intermittent denial-of-service attacks[J]. IEEE/CAA Journal of Automatica Sinica, 2023, 10(5): 1234–1251. doi: 10.1109/JAS.2022.105845.
    [6] JU Zhiyang, ZHANG Hui, LI Xiang, et al. A survey on attack detection and resilience for connected and automated vehicles: From vehicle dynamics and control perspective[J]. IEEE Transactions on Intelligent Vehicles, 2022, 7(4): 815–837. doi: 10.1109/TIV.2022.3186897.
    [7] 张晓均, 唐浩宇, 张楠, 等. 分布式智能车载网联系统的匿名认证与密钥协商协议[J]. 电子与信息学报, 2024, 46(4): 1333–1342. doi: 10.11999/JEIT230394.

    ZHANG Xiaojun, TANG Haoyu, ZHANG Nan, et al. Anonymous authentication and key agreement protocol based on distributed intelligent vehicle networking system[J]. Journal of Electronics & Information Technology, 2024, 46(4): 1333–1342. doi: 10.11999/JEIT230394.
    [8] JU Zhiyang, ZHANG Hui, and TAN Ying. Distributed deception attack detection in platoon-based connected vehicle systems[J]. IEEE Transactions on Vehicular Technology, 2020, 69(5): 4609–4620. doi: 10.1109/TVT.2020.2980137.
    [9] BODDUPALLI S, LIN C W, and RAY S. ReCAP: Protecting cooperative adaptive cruise control against multi-channel perception adversary[J]. IEEE Transactions on Intelligent Transportation Systems, 2024, 25(11): 15702–15717. doi: 10.1109/TITS.2024.3445391.
    [10] ZHAO Yuan, LIU Zhongchang, and WONG W S. Resilient platoon control of vehicular cyber physical systems under DoS attacks and multiple disturbances[J]. IEEE Transactions on Intelligent Transportation Systems, 2022, 23(8): 10945–10956. doi: 10.1109/TITS.2021.3097356.
    [11] ZHAO Ning, ZHAO Xudong, CHEN Meng, et al. Resilient distributed event-triggered platooning control of connected vehicles under denial-of-service attacks[J]. IEEE Transactions on Intelligent Transportation Systems, 2023, 24(6): 6191–6202. doi: 10.1109/TITS.2023.3250402.
    [12] 宋秀兰, 李洋阳, 何德峰. 外部干扰和随机DoS攻击下的网联车安全H队列控制[J]. 自动化学报, 2024, 50(2): 348–355. doi: 10.16383/j.aas.c230327.

    SONG Xiulan, LI Yangyang, and HE Defeng. Secure H platooning control for connected vehicles subject to external disturbance and random DoS attacks[J]. Acta Automatica Sinica, 2024, 50(2): 348–355. doi: 10.16383/j.aas.c230327.
    [13] 苗金钊, 刘金良, 孙乐, 等. 基于虚假数据检测的信息物理系统安全学习控制方法[J]. 电子与信息学报. doi: 10.11999/JEIT250537. (查阅网上资料,未找到年份卷期页码信息,请补充).

    MIAO Jinzhao, LIU Jinliang, SUN Le, et al. A learning-based security control method for cyber-physical systems based on false data detection[J]. Journal of Electronics & Information Technology. doi: 10.11999/JEIT250537.
    [14] WU Yanhong, ZUO Zhiqiang, WANG Yijing, et al. Distributed data-driven model predictive control for heterogeneous vehicular platoon with uncertain dynamics[J]. IEEE Transactions on Vehicular Technology, 2023, 72(8): 9969–9983. doi: 10.1109/TVT.2023.3262705.
    [15] MA Yongsheng, CHE Weiwei, DENG Chao, et al. Data-driven distributed vehicle platoon control for heterogeneous nonlinear vehicle systems[J]. IEEE Transactions on Intelligent Transportation Systems, 2024, 25(3): 2373–2381. doi: 10.1109/TITS.2023.3321750.
    [16] HAN Qiaoni, MA Jianguo, ZUO Zhiqiang, et al. Data-driven finite-time platooning control for heterogeneous nonlinear vehicle systems[J]. IEEE Control Systems Letters, 2025, 9: 33–37. doi: 10.1109/LCSYS.2025.3552676.
    [17] 侯忠生, 金尚泰. 无模型自适应控制——理论与应用[M]. 北京: 科学出版社, 2013.

    HOU Zhongsheng and JIN Shangtai. Model-Free Adaptive Control: Theory and Applications[M]. Beijing: Science Press, 2013. (查阅网上资料, 未找到对应的英文翻译, 请确认).
    [18] HOU Zhongsheng and JIN Shangtai. A novel data-driven control approach for a class of discrete-time nonlinear systems[J]. IEEE Transactions on Control Systems Technology, 2011, 19(6): 1549–1558. doi: 10.1109/TCST.2010.2093136.
    [19] HOU Zhongsheng and JIN Shangtai. Data-driven model-free adaptive control for a class of MIMO nonlinear discrete-time systems[J]. IEEE Transactions on Neural Networks, 2011, 22(12): 2173–2188. doi: 10.1109/TNN.2011.2176141.
    [20] YU Wei, WANG Rui, BU Xuhui, et al. Resilient model-free adaptive iterative learning control for nonlinear systems under periodic DoS attacks via a fading channel[J]. IEEE Transactions on Systems, Man, and Cybernetics: Systems, 2022, 52(7): 4117–4128. doi: 10.1109/TSMC.2021.3091422.
    [21] CHEN Runze, LI Luanxin, and HOU Zhongsheng. Distributed model-free adaptive control for multi-agent systems with external disturbances and DoS attacks[J]. Information Sciences, 2022, 613: 309–323. doi: 10.1016/j.ins.2022.09.035.
    [22] MA Yongsheng, CHE Weiwei, DENG Chao, et al. Distributed model-free adaptive control for learning nonlinear MASs under DoS attacks[J]. IEEE Transactions on Neural Networks and Learning Systems, 2023, 34(3): 1146–1155. doi: 10.1109/TNNLS.2021.3104978.
    [23] DENG Chao, JIN Xiaozheng, WU Zhengguang, et al. Data-driven-based cooperative resilient learning method for nonlinear MASs under DoS attacks[J]. IEEE Transactions on Neural Networks and Learning Systems, 2024, 35(9): 12107–12116. doi: 10.1109/TNNLS.2023.3252080.
    [24] BU Xuhui, GUO Jinli, CUI Lizhi, et al. Event-triggered model-free adaptive containment control for nonlinear multiagent systems under DoS attacks[J]. IEEE Transactions on Control of Network Systems, 2024, 11(4): 1845–1857. doi: 10.1109/TCNS.2023.3290071.
    [25] ZHU Panpan, JIN Shangtai, BU Xuhui, et al. Model-free adaptive control for a class of MIMO nonlinear cyberphysical systems under false data injection attacks[J]. IEEE Transactions on Control of Network Systems, 2023, 10(1): 467–478. doi: 10.1109/TCNS.2022.3203354.
    [26] LI Fanghui and HOU Zhongsheng. Distributed model-free adaptive control for MIMO nonlinear multiagent systems under deception attacks[J]. IEEE Transactions on Systems, Man, and Cybernetics: Systems, 2023, 53(4): 2281–2291. doi: 10.1109/TSMC.2022.3211871.
    [27] WANG Yueming, LI Yuanxin, TONG Shaocheng, et al. Data-driven-based event-triggered prescribed performance tracking of nonlinear system with FDI attacks[J]. IEEE Transactions on Automation Science and Engineering, 2024, 21(4): 5357–5366. doi: 10.1109/TASE.2023.3310621.
    [28] SUN Shanshan, LI Yuanxin, and HOU Zhongsheng. Data-driven reinforcement learning tracking of MASs under injection attack: A controller-dynamic-linearization approach[J]. IEEE Transactions on Fuzzy Systems, 2024, 32(11): 6069–6078. doi: 10.1109/TFUZZ.2024.3439351.
    [29] ZHU Panpan, JIN Shangtai, BU Xuhui, et al. Distributed data-driven control for a connected autonomous vehicle platoon subjected to false data injection attacks[J]. IEEE Transactions on Automation Science and Engineering, 2024, 21(4): 7527–7538. doi: 10.1109/TASE.2023.3345369.
    [30] YUE Baifan and CHE Weiwei. Data-driven fault-tolerant platooning control under aperiodic DoS attacks[J]. IEEE Transactions on Intelligent Transportation Systems, 2023, 24(11): 12166–12179. doi: 10.1109/TITS.2023.3286403.
    [31] FENG Shuai and TESI P. Resilient control under denial-of-service: Robust design[J]. Automatica, 2017, 79: 42–51. doi: 10.1016/j.automatica.2017.01.031.
    [32] LIU Jinliang, GU Yuanyuan, ZHA Lijuan, et al. Event-triggered H load frequency control for multiarea power systems under hybrid cyber attacks[J]. IEEE Transactions on Systems, Man, and Cybernetics: Systems, 2019, 49(8): 1665–1678. doi: 10.1109/TSMC.2019.2895060.
    [33] LI Xin, WEI Guoliang, DING Derui, et al. Recursive filtering for time-varying discrete sequential systems subject to deception attacks: Weighted try-once-discard protocol[J]. IEEE Transactions on Systems, Man, and Cybernetics: Systems, 2022, 52(6): 3704–3713. doi: 10.1109/TSMC.2021.3064653.
    [34] LI Zhanjie and ZHAO Jun. Resilient adaptive control of switched nonlinear cyber-physical systems under uncertain deception attacks[J]. Information Sciences, 2021, 543: 398–409. doi: 10.1016/j.ins.2020.07.022.
    [35] LI Fanghui and HOU Zhongsheng. Learning-based model-free adaptive control for nonlinear discrete-time networked control systems under hybrid cyber attacks[J]. IEEE Transactions on Cybernetics, 2024, 54(3): 1560–1570. doi: 10.1109/TCYB.2022.3225203.
    [36] LIU Haotian, WU Wenchuan, and BOSE A. Model-free voltage control for inverter-based energy resources: Algorithm, simulation and field test verification[J]. IEEE Transactions on Energy Conversion, 2021, 36(2): 1207–1215. doi: 10.1109/TEC.2020.3025758.
    [37] LUO Qianyue, NGUYEN A T, FLEMING J, et al. Unknown input observer based approach for distributed tube-based model predictive control of heterogeneous vehicle platoons[J]. IEEE Transactions on Vehicular Technology, 2021, 70(4): 2930–2944. doi: 10.1109/TVT.2021.3064680.
  • 加载中
图(6)
计量
  • 文章访问数:  24
  • HTML全文浏览量:  7
  • PDF下载量:  2
  • 被引次数: 0
出版历程
  • 修回日期:  2026-02-05
  • 录用日期:  2026-02-05
  • 网络出版日期:  2026-02-16

目录

    /

    返回文章
    返回