高级搜索

留言板

尊敬的读者、作者、审稿人, 关于本刊的投稿、审稿、编辑和出版的任何问题, 您可以本页添加留言。我们将尽快给您答复。谢谢您的支持!

姓名
邮箱
手机号码
标题
留言内容
验证码

深度学习图像分类模型因果特征学习研究综述

王晓东 蒋玲 李晖晖 王布宏

王晓东, 蒋玲, 李晖晖, 王布宏. 深度学习图像分类模型因果特征学习研究综述[J]. 电子与信息学报. doi: 10.11999/JEIT250738
引用本文: 王晓东, 蒋玲, 李晖晖, 王布宏. 深度学习图像分类模型因果特征学习研究综述[J]. 电子与信息学报. doi: 10.11999/JEIT250738
WANG Xiaodong, JIANG Ling, LI Huihui, WANG Buhong. A Review of Causal Feature Learning in Deep Learning Image Classification Models[J]. Journal of Electronics & Information Technology. doi: 10.11999/JEIT250738
Citation: WANG Xiaodong, JIANG Ling, LI Huihui, WANG Buhong. A Review of Causal Feature Learning in Deep Learning Image Classification Models[J]. Journal of Electronics & Information Technology. doi: 10.11999/JEIT250738

深度学习图像分类模型因果特征学习研究综述

doi: 10.11999/JEIT250738 cstr: 32379.14.JEIT250738
基金项目: 国家自然科学基金(62472437),福建省自然科学基金(2023J01035),厦门市自然科学基金(3502Z20227326)
详细信息
    作者简介:

    王晓东:男,教授,研究方向为人工智能和信息安全

    蒋玲:女,硕士研究生,研究方向为人工智能

    李晖晖:女,副教授,研究方向计算机视觉、图像处理、机器学习、人工智能

    王布宏:男,教授,研究方向为信息系统安全

    通讯作者:

    王晓东 wxdkkc@163.com

  • 中图分类号: TP18; TP391

A Review of Causal Feature Learning in Deep Learning Image Classification Models

Funds: The National Natural Science Foundation of China (62472437), The National Natural Science Foundation of Fujian (2023J01035), The Natural Science Foundation of Xiamen (3502Z20227326)
  • 摘要: 因果特征学习(CFL)是深度学习图像分类模型实现因果推断的重要途径。该文系统综述了深度学习图像分类模型因果特征学习的研究与进展。首先,给出了因果推断相关概念定义及其统计学实现方法。其次,从前向、反向、横向3个角度介绍了面向深度学习图像分类模型的相关性分析方法。然后,根据深度学习图像分类模型因果特征学习的不同实现,分类归纳了因果特征发现、因果特征效应评估、因果表征学习、伪相关剔除4类方法。最后,在总结深度学习图像分类模型因果特征学习现状基础上对未来研究进行了展望。
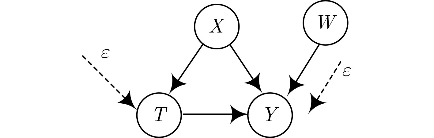
  • 图  1  通用的因果表达形式

    图  2  3种相关性关系类型

    图  3  因果推断任务组成

    图  4  深度模型相关分析的方向

    图  5  图像特征互相关性对分类影响的示意图

    图  6  因果特征学习与因果表征学习的支持关系

    表  1  深度学习图像分类模型相关分析主要方向与实现方法

    分析方向 子类 方法
    前向相关分析 敏感度分析 块遮挡[32]、RISE[33]、基于GAN的掩膜生成[34]、CAUSAL WALK[35],等
    样本扰动 LIME[36]、有意义扰动[37]、极值扰动[38]、FA[39]、LCL-MLLM[40],等
    类激活图 基本CAM[41]
    博弈论 SHAP[42]、Counterfactual Attacks[43],等
    反向相关分析 梯度反向传播 显著图[44]、反卷积[45]、导向反传播[46]、LRP[47]、DTD[48]、RectGrad[49]
    IG[50]、FANS[51],MFAB A[52],C ARI-NN[53],等
    基于梯度分析的CAM Grad-CAM[54]、Grad-CAM++[55],等
    信号分解 PatternNet[56]
    横向相关分析 横向相关性的存在性探索 空间配置[57]、光学错觉[2]、背景影响[6]、位置关系[8],等
    视觉概念分析 TCAV[58]、ACE[59]、ICE[60]、动物识别[57,61],等
    相关性定量计算 Ablation-CA[12]、ADIC[62]、前景与背景分析框架[63],等
    下载: 导出CSV

    表  2  深度学习图像分类模型因果特征学习主要方法

    分类 子类 代表性工作
    CFD 样本干预类 CGCN[5]、NCC[8]、学习MF[9]、VC R-CNN[15]、PPI[67]、CICF[68]、等等
    模型干预类 IFSL[69]、De-confound-TDE[70]、DCIR[71]、CSLM[72]、TLT[73]等等
    CFEE 样本匹配 样本匹配[75]
    倾向性得分 PSM[76]、IPW[77],等
    混淆变量平衡 EB[78]、DCB[79]、CRLR[80],等
    反事实样本生成 基于变分生成对抗网络[81]
    CRL 因果特征抽取 IRM[8283]、CIRL[84]、神经因果抽象家族[85]、CCIG[86],等
    因果特征选择 IB[87]、IB深度神经网络假设[88]、对抗样本蒸馏[89],等
    SCR 伪相关成因分析 CNN架构原因[90],以及基于人类认知范围内的特征[91]、基于稳定学习理论分析[6]、假设引入[92],等
    数据处理去伪 UV-DRO[93]、SSA[94]、数据增强[95]、LISA[96]、DVD[57]、DISC[97]、等
    模型改进去伪 CFRNet[98]、CRF-ISW[99]、StableNet[100]、因果对齐框架[101]、引入RN[102]、等
    训练策略去伪 CvaR[105]、CoCo[106]、Group DRO[107],集成学习[108109],等
    因果效应校准 与CAM、Grad-CAM等可解释算法结合[110111],等
    细粒度分类识别 局部检测等角度方法[113114]、强及弱监督角度[115]、其它
    下载: 导出CSV

    表  3  深度学习图像分类模型因果特征学习可用工具

    工具名称主要功能工具资源
    causality-lab解耦复杂图像分类任务中的因果特征https://github.com/IntelLabs/causality-lab
    DVI体现训练深度学习图像分类器的时空因果关系https://github.com/xianglinyang/DeepVisualInsight
    CITRIS基于VAE从时间序列图像中学习提取因果表示https://github.com/phlippe/CITRIS
    CausalML因果推断和增益建模https://github.com/uber/causalml
    DoWhy提供了从相关性学习到因果性学习的工具链https://github.com/microsoft/dowhy
    gCastle因果结构学习工具链,发现数据中的因果关系https://github.com/huawei-noah/trustworthyAI/tree/master/gcastle
    CDT从图像特征中自动发现因果依赖关系https://github.com/FenTechSolutions/CausalDiscoveryToolbox
    YLearn提供因果发现、因果量识别、因果效应估计功能https://gitcode.com/gh_mirrors/yl/YLearn
    Causal-learn集成许多经典算法及其扩展的官方实现https://github.com/cmu-phil/causal-learn
    下载: 导出CSV
  • [1] NGUYEN A, YOSINSKI J, and CLUNE J. Deep neural networks are easily fooled: High confidence predictions for unrecognizable images[C]. IEEE Conference On Computer Vision and Pattern Recognition (CVPR), Boston, USA, 2015: 427–436. doi: 10.1109/CVPR.2015.7298640.
    [2] SCHÖLKOPF B. Causality for machine learning[M]. GEFFNER H, DECHTER R, and HALPERN J Y. Probabilistic and Causal Inference: The Works of Judea Pearl. New York: ACM, 2022: 765–804. doi: 10.1145/3501714.3501755.
    [3] PEARL J and MACKENZIE D. The book of why: The new science of cause and effect[J]. Science, 2018, 361(6405): 855. doi: 10.1126/science.aau9731. (查阅网上资料,未找到本条文献作者,请确认).
    [4] 李珊珊, 赵清杰, 朱文龙, 等. 引入因果发现学习的跨领域知识泛化方法[J]. 智能系统学报, 2025, 20(4): 1033–1045. doi: 10.11992/tis.202501005.

    LI Shanshan, ZHAO Qingjie, ZHU Wenlong, et al. Cross-domain knowledge generalization method introducing causal discovery learning[J]. CAAI Transactions on Intelligent Systems, 2025, 20(4): 1033–1045. doi: 10.11992/tis.202501005.
    [5] 车翔玖, 武宇宁, 刘全乐. 基于因果特征学习的有权同构图分类算法[J]. 吉林大学学报: 工学版, 2025, 55(2): 681–686. doi: 10.13229/j.cnki.jdxbgxb.20230384.

    CHE Xiangjiu, WU Yuning, and LIU Quanle. A weighted isomorphic graph classification algorithm based on causal feature learning[J]. Journal of Jilin University: Engineering and Technology Edition, 2025, 55(2): 681–686. doi: 10.13229/j.cnki.jdxbgxb.20230384.
    [6] 杨强, 范力欣, 朱军, 等. 可解释人工智能导论[M]. 北京: 电子工业出版社, 2022: 59–60.

    YANG Qiang, FAN Lixin, ZHU Jun, et al. Introduction to Explainable Artificial Intelligence[M]. Beijing: Publishing House of Electronics Industry, 2022: 59–60.
    [7] CHALUPKA K, EBERHARDT F, and PERONA P. Causal feature learning: An overview[J]. Behaviormetrika, 2017, 44(1): 137–164. doi: 10.1007/s41237-016-0008-2.
    [8] LOPEZ-PAZ D, NISHIHARA R, CHINTALA S, et al. Discovering causal signals in images[C]. The IEEE Conference on Computer Vision and Pattern Recognition, Honolulu, USA, 2017: 58–66. doi: 10.1109/CVPR.2017.14.
    [9] CHALUPKA K, PERONA P, and EBERHARDT F. Visual causal feature learning[C]. The 31st Conference on Uncertainty in Artificial Intelligence, Amsterdam, Netherlands, 2015: 181–190.
    [10] ZEBARI R R, ABDULAZEEZ A M, ZEEBAREE D Q, et al. A comprehensive review of dimensionality reduction techniques for feature selection and feature extraction[J]. Journal of Applied Science and Technology Trends, 2020, 1(2): 56–70. doi: 10.38094/jastt1224.
    [11] 王增珍, 李君荣. 关联度分析及其与相关分析的比较[J]. 中国卫生统计, 1991, 8(6): 22–25.

    WANG Zengzhen and LI Junrong. Incidence degree analysis and its comparison with correlation analysis[J]. Chinese Journal of Health Statistics, 1991, 8(6): 22–25.
    [12] 王晓东, 张盖群, 胡钰琪, 等. 深度学习分类模型解释图的对象相关性消融分析[J]. 厦门大学学报: 自然科学版, 2024, 63(3): 562–569. doi: 10.6043/j.issn.0438-0479.202206021.

    WANG Xiaodong, ZHANG Gaiqun, HU Yuqi, et al. Ablation based correspondence analysis of objects in deep learning interpretable heatmap[J]. Journal of Xiamen University: Natural Science, 2024, 63(3): 562–569. doi: 10.6043/j.issn.0438-0479.202206021.
    [13] JIN Zhijing, LIU Jiarui, LYU Zhiheng, et al. Can large language models infer causation from correlation?[C]. The 12th International Conference on Learning Representations, Vienna, Austria, 2024.
    [14] 李家宁, 熊睿彬, 兰艳艳, 等. 因果机器学习的前沿进展综述[J]. 计算机研究与发展, 2023, 60(1): 59–84. doi: 10.7544/issn1000-1239.202110780.

    LI Jianing, XIONG Ruibin, LAN Yanyan, et al. Overview of the frontier progress of causal machine learning[J]. Journal of Computer Research and Development, 2023, 60(1): 59–84. doi: 10.7544/issn1000-1239.202110780.
    [15] WANG Tan, HUANG Jianqiang, ZHANG Hanwang, et al. Visual commonsense R-CNN[C]. Proceedings of the IEEE/CVF Conference on Computer Vision and Pattern Recognition, Seattle, USA, 2020: 10757–10767. doi: 10.1109/CVPR42600.2020.01077.
    [16] Anticoder. 因果推断--uplift model 评估[EB/OL]. https://zhuanlan.zhihu.com/p/343747851, 2025.

    Anticoder. Causal inference--uplift model assessment[EB/OL]. https://zhuanlan.zhihu.com/p/343747851, 2025. (查阅网上资料,未找到本条文献英文翻译,请确认).
    [17] CHEN Hang, DU Keqing, YANG Xinyu, et al. A review and roadmap of deep learning causal discovery in different variable paradigms[EB/OL]. https://doi.org/10.48550/arXiv.2209.06367, 2022.
    [18] LIU Yang, WEI Yushen, YAN Hong, et al. Causal reasoning meets visual representation learning: A prospective study[J]. Machine Intelligence Research, 2022, 19(6): 485–511. doi: 10.1007/s11633-022-1362-z.
    [19] 胡志远, 高锦涛. 因果发现技术研究综述[J]. 计算机工程与应用, 2025, 61(24): 40–67. doi: 10.3778/j.issn.1002-8331.2501-0440.

    HU Zhiyuan and GAO Jintao. Review of research on causal discovery techniques[J]. Computer Engineering and Applications, 2025, 61(24): 40–67. doi: 10.3778/j.issn.1002-8331.2501-0440.
    [20] 郝志峰, 汪菲霞, 陈正鸣, 等. 基于增强条件独立性检验的鲁棒因果发现算法[J]. 软件学报, 2025, 36(9): 4134–4152. doi: 10.13328/j.cnki.jos.007261.

    HAO Zhifeng, WANG Feixia, CHEN Zhengming, et al. Robust causal discovery algorithm based on enhanced conditional independence tests[J]. Journal of Software, 2025, 36(9): 4134–4152. doi: 10.13328/j.cnki.jos.007261.
    [21] CHICHARRO D and PANZERI S. Algorithms of causal inference for the analysis of effective connectivity among brain regions[J]. Frontiers in Neuroinformatics, 2014, 8: 64. doi: 10.3389/fninf.2014.00064.
    [22] RAMSEY J, SPIRTES P, and ZHANG Jiji. Adjacency-faithfulness and conservative causal inference[C]. Proceedings of the 22nd Conference on Uncertainty in Artificial Intelligence, Cambridge, USA, 2006: 401–408.
    [23] KALISCH M and BÜHLMANN P. Estimating high-dimensional directed acyclic graphs with the PC-algorithm[J]. The Journal of Machine Learning Research, 2007, 8: 613–636.
    [24] CHICKERING D M. Optimal structure identification with greedy search[J]. The Journal of Machine Learning Research, 2002, 3: 507–554. doi: 10.1162/153244303321897717.
    [25] WANG Lei, HUANG Shanshan, WANG Shu, et al. A survey of causal discovery based on functional causal model[J]. Engineering Applications of Artificial Intelligence, 2024, 133: 108258. doi: 10.1016/j.engappai.2024.108258.
    [26] RUBIN D B. Estimating causal effects of treatments in randomized and nonrandomized studies[J]. Epidemiologic Methods, 2014, 66(1): 688–701. doi: 10.1515/em-2013-0018.
    [27] 杨新新, 刘真, 卢思博, 等. 基于因果推断的推荐系统去偏研究综述[J]. 计算机学报, 2024, 47(10): 2307–2332. doi: 10.11897/SP.J.1016.2024.02307.

    YANG Xinxin, LIU Zhen, LU Sibo, et al. A survey on debiasing recommendation based on causal inference[J]. Chinese Journal of Computers, 2024, 47(10): 2307–2332. doi: 10.11897/SP.J.1016.2024.02307.
    [28] YAO Liuyi, CHU Zhixuan, LI Sheng, et al. A survey on causal inference[J]. ACM Transactions on Knowledge Discovery from Data, 2021, 15(5): 74. doi: 10.1145/3444944.
    [29] 丁梦远, 兰旭光, 彭茹, 等. 机器推理的进展与展望[J]. 模式识别与人工智能, 2021, 34(1): 1–13. doi: 10.16451/j.cnki.issn1003-6059.202101001.

    DING Mengyuan, LAN Xuguang, PENG Ru, et al. Progress and prospect of machine reasoning[J]. Pattern Recognition and Artificial Intelligence, 2021, 34(1): 1–13. doi: 10.16451/j.cnki.issn1003-6059.202101001.
    [30] OLAH C, CAMMARATA N, SCHUBERT L, et al. Zoom in: An introduction to circuits[J]. Distill, 2020, 5(3): e00024.001. doi: 10.23915/distill.00024.001.
    [31] 吴兴宇, 江兵兵, 吕胜飞, 等. 基于马尔科夫边界发现的因果特征选择算法综述[J]. 模式识别与人工智能, 2022, 35(5): 422–438. doi: 10.16451/j.cnki.issn1003-6059.202205004.

    WU Xingyu, JIANG Bingbing, LV Shengfei, et al. A survey on causal feature selection based on Markov boundary discovery[J]. Pattern Recognition and Artificial Intelligence, 2022, 35(5): 422–438. doi: 10.16451/j.cnki.issn1003-6059.202205004.
    [32] ZEILER M D and FERGUS R. Visualizing and understanding convolutional networks[C]. 13th European Conference on Computer Vision, Zurich, Switzerland, 2014: 818–833. doi: 10.1007/978-3-319-10590-1_53.
    [33] PETSIUK V, DAS A, and SAENKO K. RISE: Randomized input sampling for explanation of black-box models[C]. Proceedings of the British Machine Vision Conference, Newcastle, UK, 2018: 151−163. (查阅网上资料, 未找到本条文献页码, 请确认).
    [34] YUAN Hao, CAI Lei, HU Xia, et al. Interpreting image classifiers by generating discrete masks[J]. IEEE Transactions on Pattern Analysis and Machine Intelligence, 2022, 44(4): 2019–2030. doi: 10.1109/TPAMI.2020.3028783.
    [35] ZHANG Congzhi, ZHANG Linhai, and ZHOU Deyu. Causal walk: Debiasing multi-hop fact verification with front-door adjustment[C]. Proceedings of the 38th AAAI Conference on Artificial Intelligence, Vancouver, Canada, 2024, 19533–19541. doi: 10.1609/aaai.v38i17.29925.
    [36] RIBEIRO M T, SINGH S, and GUESTRIN C. "Why should i trust you?": Explaining the predictions of any classifier[C]. Proceedings of the 22nd ACM SIGKDD International Conference on Knowledge Discovery and Data Mining, San Francisco, USA, 2016: 1135–1144. doi: 10.1145/2939672.2939778.
    [37] FONG R C and VEDALDI A. Interpretable explanations of black boxes by meaningful perturbation[C]. 2017 IEEE International Conference on Computer Vision (ICCV), Venice, Italy, 2017: 3449–3457. doi: 10.1109/ICCV.2017.371.
    [38] FONG R, PATRICK M, and VEDALDI A. Understanding deep networks via extremal perturbations and smooth masks[C]. IEEE/CVF International Conference on Computer Vision (ICCV), Seoul, Korea (South), 2019: 2950–2958. doi: 10.1109/iccv.2019.00304.
    [39] NGUYEN T, DO K, NGUYEN D T, et al. Causal inference via style transfer for out-of-distribution generalisation[C]. Proceedings of the 29th ACM SIGKDD Conference on Knowledge Discovery and Data Mining, Long Beach, USA, 2023: 1746–1757. doi: 10.1145/3580305.3599270.
    [40] TAI Yan, FAN Weichen, ZHANG Zhao, et al. Link-context learning for multimodal LLMs[C]. Proceedings of the IEEE/CVF Conference on Computer Vision and Pattern Recognition, Seattle, USA, 2024: 27166–27175. doi: 10.1109/CVPR52733.2024.02566.
    [41] ZHOU Bolei, KHOSLA A, LAPEDRIZA A, et al. Learning deep features for discriminative localization[C]. 2016 IEEE Conference on Computer Vision and Pattern Recognition (CVPR), Las Vegas, USA, 2016: 2921–2929. doi: 10.1109/CVPR.2016.319.
    [42] LUNDBERG S M and LEE S I. A unified approach to interpreting model predictions[C]. Proceedings of the 31st International Conference on Neural Information Processing Systems, Long Beach, USA, 2017: 4768–4777.
    [43] GOLDWASSER J and HOOKER G. Unifying image counterfactuals and feature attributions with latent-space adversarial attacks[EB/OL]. https://arxiv.org/abs/2504.15479, 2025.
    [44] SIMONYAN K, VEDALDI A, and ZISSERMAN A. Deep inside convolutional networks: Visualising image classification models and saliency maps[C]. 2nd International Conference on Learning Representations, Banff, Canada, 2014. doi: 10.5244/c.27.8. (查阅网上资料,未找到本条文献doi,请确认).
    [45] EDELSON G S, SULLIVAN S F, ALSUP J M, et al. Deconvolutional beamforming for air and underwater acoustic sensor arrays[J]. The Journal of the Acoustical Society of America, 2003, 114(S4): 2367. doi: 10.1121/1.4777157.
    [46] SPRINGENBERG J T, DOSOVITSKIY A, BROX T, et al. Striving for simplicity: The all convolutional net[C]. 3rd International Conference on Learning Representations, San Diego, USA, 2015: 1–14. (查阅网上资料, 未找到本条文献页码, 请确认).
    [47] BACH S, BINDER A, MONTAVON G, et al. On pixel-wise explanations for non-linear classifier decisions by layer-wise relevance propagation[J]. PLoS One, 2015, 10(7): e0130140. doi: 10.1371/journal.pone.0130140.
    [48] MONTAVON G, LAPUSCHKIN S, BINDER A, et al. Explaining nonlinear classification decisions with deep Taylor decomposition[J]. Pattern Recognition, 2017, 65: 211–222. doi: 10.1016/j.patcog.2016.11.008.
    [49] KIM B, SEO J, JEON S, et al. Why are saliency maps noisy? Cause of and solution to noisy saliency maps[C]. 2019 IEEE/CVF International Conference on Computer Vision Workshop (ICCVW), Seoul, Korea, 2019: 4149–4157. doi: 10.1109/ICCVW.2019.00510.
    [50] SUNDARARAJAN M, TALY A, and YAN Qiqi. Axiomatic attribution for deep networks[C]. Proceedings of the 34th International Conference on Machine Learning, Sydney, Australia, 2017: 3319–3328.
    [51] CHEN Xuexin, CAI Ruichu, HUANG Zhengting, et al. Feature attribution with necessity and sufficiency via dual-stage perturbation test for causal explanation[C]. Proceedings of the 41st International Conference on Machine Learning, Vienna, Austria, 2024: 250.
    [52] ZHU Zhiyu, CHEN Huaming, ZHANG Jiayu, et al. MFABA: A more faithful and accelerated boundary-based attribution method for deep neural networks[C]. Proceedings of the 38th AAAI Conference on Artificial Intelligence, Vancouver, Canada, 2024: 17228–17236. doi: 10.1609/aaai.v38i15.29669.
    [53] AHMAD O, BÉREUX N, BARET L, et al. Causal analysis for robust interpretability of neural networks[C]. Proceedings of the IEEE/CVF Winter Conference on Applications of Computer Vision, Waikoloa, USA, 2024: 4673–4682. doi: 10.1109/WACV57701.2024.00462.
    [54] SELVARAJU R R, COGSWELL M, DAS A, et al. Grad-CAM: Visual explanations from deep networks via gradient-based localization[C]. Proceedings of the IEEE International Conference on Computer Vision, Venice, Italy, 2017: 618–626. doi: 10.1109/ICCV.2017.74.
    [55] CHATTOPADHAY A, SARKAR A, HOWLADER P, et al. Grad-CAM++: Generalized gradient-based visual explanations for deep convolutional networks[C]. 2018 IEEE Winter Conference on Applications of Computer Vision (WACV), Lake Tahoe, USA, 2018: 839–847. doi: 10.1109/WACV.2018.00097.
    [56] KINDERMANS P J, SCHÜTT K T, ALBER M, et al. Learning how to explain neural networks: PatternNet and PatternAttribution[C]. 6th International Conference on Learning Representations, Vancouver, Canada, 2018. (查阅网上资料, 未找到本条文献doi, 请确认).
    [57] SHEN Zheyan, CUI Peng, ZHANG Tong, et al. Stable learning via sample reweighting[C]. Proceedings of the 34th AAAI Conference on Artificial Intelligence, New York, USA, 2020: 5692–5699. doi: 10.1609/aaai.v34i04.6024.
    [58] KIM B, WATTENBERG M, GILMER J, et al. Interpretability beyond feature attribution: Quantitative testing with concept activation vectors (TCAV)[C]. Proceedings of the 35th International Conference on Machine Learning, Stockholm, Sweden, 2018: 2668–2677.
    [59] GHORBANI A, WEXLER J, ZOU J, et al. Towards automatic concept-based explanations[C]. Proceedings of the 33rd International Conference on Neural Information Processing Systems, Vancouver, Canada, 2019: 832. doi: 10.5555/3344550.3352770. (查阅网上资料,未找到本条文献doi,请确认).
    [60] ZHANG Ruihan, MADUMAL P, MILLER T, et al. Invertible concept-based explanations for CNN models with non-negative concept activation vectors[C]. Proceedings of the 35th AAAI Conference on Artificial Intelligence, Menlo Park, USA, 2021: 11682–11690. doi: 10.1609/aaai.v35i13.17389. (查阅网上资料,未找到本条文献出版地,请确认).
    [61] FU Jianlong, ZHENG Heliang, and MEI Tao. Look closer to see better: Recurrent attention convolutional neural network for fine-grained image recognition[C]. Proceedings of the 2017 IEEE Conference on Computer Vision and Pattern Recognition, Honolulu, USA, 2017: 4476–4484. doi: 10.1109/CVPR.2017.476.
    [62] 赵小阳, 李仲年, 王文玉, 等. ADIC: 一种面向可解释图像识别的自适应解纠缠CNN分类器[J]. 计算机研究与发展, 2023, 60(8): 1754–1767. doi: 10.7544/issn1000-1239.202330231.

    ZHAO Xiaoyang, LI Zhongnian, WANG Wenyu, et al. ADIC: An adaptive disentangled CNN classifier for interpretable image recognition[J]. Journal of Computer Research and Development, 2023, 60(8): 1754–1767. doi: 10.7544/issn1000-1239.202330231.
    [63] WANG Xiaodong and ZHANG Gaiqun. Feature-granularity-based spurious correlation and causal analysis in CNNs exploring feature granularity to uncover spurious correlations[C]. Proceedings of the 2024 2nd International Conference on Internet of Things and Cloud Computing Technology, Paris, France, 2024: 336–341. doi: 10.1145/3702879.3702937.
    [64] 望止洋. 因果推理初探(4)——干预[EB/OL]. https://zhuanlan.zhihu.com/p/111340526, 2025.

    WANG Zhiyang. A preliminary study on causal reasoning (4)——intervention[EB/OL]. https://zhuanlan.zhihu.com/p/111340526, 2025. (查阅网上资料,未找到本条文献英文翻译,请确认).
    [65] 张盖群. 模型无关的深度学习因果特征相关分析研究[D]. [硕士论文], 厦门大学, 2025. (查阅网上资料, 未找到本条文献信息, 请确认).

    ZHANG Gaiqun. Research on model-independent deep learning causal feature correlation analysis[D]. [Master dissertation], Xiamen University, 2025.
    [66] YANG Mengyue, LIU Furui, CHEN Zhitang, et al. CausalVAE: Disentangled representation learning via neural structural causal models[C]. 2021 IEEE/CVF Conference on Computer Vision and Pattern Recognition, Nashville, USA, 2021: 9588–9597. doi: 10.1109/CVPR46437.2021.00947.
    [67] WANG Dong, YANG Yuewei, CHEN Liqun, et al. Proactive pseudo-intervention: Pre-informed contrastive learning for interpretable vision models[C]. Proceedings of the 1st AAAI Bridge Program on AI for Medicine and Healthcare, 2025: 20–34. (查阅网上资料, 未找到本条文献出版地, 请确认).
    [68] LI Xin, ZHANG Zhizheng, WEI Guoqiang, et al. Confounder identification-free causal visual feature learning[EB/OL]. https://arxiv.org/abs/2111.13420, 2021.
    [69] YUE Zhongqi, ZHANG Hanwang, SUN Qianru, et al. Interventional few-shot learning[C]. Proceedings of the 34th International Conference on Neural Information Processing Systems, Vancouver, Canada, 2020: 230.
    [70] TANG Kaihua, HUANG Jianqiang, and ZHANG Hanwang. Long-tailed classification by keeping the good and removing the bad momentum causal effect[J]. Proceedings of the 34th International Conference on Neural Information Processing Systems, Vancouver, Canada, 2020: 128.
    [71] 李祥宁, 潘晨, 何灵敏. 基于因果不变表示的领域泛化算法[J]. 中国计量大学学报, 2024, 35(2): 297–308. doi: 10.3969/j.issn.2096-2835.2024.02.013.

    LI Xiangning, PAN Chen, and HE Lingmin. A domain generalization algorithm based on causal invariant representation[J]. Journal of China Jiliang University, 2024, 35(2): 297–308. doi: 10.3969/j.issn.2096-2835.2024.02.013.
    [72] 梁天飚, 刘天元, 汪俊亮, 等. 因果推理引导的复杂花纹织物缺陷视觉检测深度学习方法[J]. 中国科学: 技术科学, 2023, 53(7): 1138–1149. doi: 10.1360/SST-2022-0432.

    LIANG Tianbiao, LIU Tianyuan, WANG Junliang, et al. Causal inference-guided deep learning method for vision-based defect detection of complex patterned fabrics[J]. Scientia Sinica Technologica, 2023, 53(7): 1138–1149. doi: 10.1360/SST-2022-0432.
    [73] YANG C H H, HUNG D I T, LIU Y C, et al. Treatment learning causal transformer for noisy image classification[C]. Proceedings of the IEEE/CVF Winter Conference on Applications of Computer Vision, Waikoloa, USA, 2023: 6128–6139. doi: 10.1109/WACV56688.2023.00608.
    [74] BICA I, ALAA A M, JORDON J, et al. Estimating counterfactual treatment outcomes over time through adversarially balanced representations[C]. The 8th International Conference on Learning Representations, Addis Ababa, Ethiopia, 2020.
    [75] MORGAN S L and WINSHIP C. Counterfactuals and Causal Inference[M]. New York: Cambridge University Press, 2007. (查阅网上资料, 未找到本条文献页码, 请确认).
    [76] GU X S and ROSENBAUM P R. Comparison of multivariate matching methods: Structures, distances, and algorithms[J]. Journal of Computational and Graphical Statistics, 1993, 2(4): 405–420. doi: 10.1080/10618600.1993.10474623.
    [77] ROSENBAUM P R and RUBIN D B. The central role of the propensity score in observational studies for causal effects[J]. Biometrika, 1983, 70(1): 41–55. doi: 10.1093/biomet/70.1.41.
    [78] HAINMUELLER J. Entropy balancing for causal effects: A multivariate reweighting method to produce balanced samples in observational studies[J]. Political Analysis, 2012, 20(1): 25–46. doi: 10.1093/pan/mpr025.
    [79] KUANG Kun, CUI Peng, LI Bo, et al. Estimating treatment effect in the wild via differentiated confounder balancing[C]. Proceedings of the 23rd ACM SIGKDD International Conference on Knowledge Discovery and Data Mining, Halifax, Canada, 2017: 265–274. doi: 10.1145/3097983.3098032.
    [80] SHEN Zheyan, CUI Peng, KUANG Kun, et al. On image classification: Correlation v. s. causality[EB/OL]. https://arxiv.org/abs/1708.06656v1, 2017.
    [81] 鲍庆森. 深度学习驱动的因果效应评估及因果表征学习研究[D]. [硕士论文], 南京邮电大学, 2023.

    BAO Qingsen. Deep learning-driven causal effect estimation and causal representation learning[D]. [Master dissertation], Nanjing University of Posts and Telecommunications, 2023.
    [82] LV Fangrui, LIANG Jian, LI Shuang, et al. Causality inspired representation learning for domain generalization[C]. Proceedings of the IEEE/CVF Conference on Computer Vision and Pattern Recognition, New Orleans, USA, 2022: 8036–8046. doi: 10.1109/CVPR52688.2022.00788.
    [83] ARJOVSKY M, BOTTOU L, GULRAJANI I, et al. Invariant risk minimization[EB/OL]. https://arxiv.org/abs/1907.02893, 2019.
    [84] XU Zhengyi, JIANG Wen, and GENG Jie. Texture-aware causal feature extraction network for multimodal remote sensing data classification[J]. IEEE Transactions on Geoscience and Remote Sensing, 2024, 62: 5103512. doi: 10.1109/TGRS.2024.3368091.
    [85] XIA K and BAREINBOIM E. Neural causal abstractions[C]. Proceedings of the 38th AAAI Conference on Artificial Intelligence, Vancouver, Canada, 2024: 20585–20595. doi: 10.1609/aaai.v38i18.30044.
    [86] 黄珊珊, 王元浩, 龚志黎, 等. 基于因果表征学习的可控图像生成(英文)[J]. 信息与电子工程前沿(英文), 2024, 25(1): 135–148. doi: 10.1631/FITEE.2300303.

    HUANG Shanshan, WANG Yuanhao, GONG Zhili, et al. Controllable image generation based on causal representation learning[J]. Frontiers of Information Technology & Electronic Engineering, 2024, 25(1): 135–148. doi: 10.1631/FITEE.2300303. .
    [87] ACHILLE A and SOATTO S. Emergence of invariance and disentanglement in deep representations[J]. The Journal of Machine Learning Research, 2018, 19(1): 1947–1980. doi: 10.1109/ITA.2018.8503149. (查阅网上资料,未找到本条文献doi,请确认).
    [88] ELAD A, HAVIV D, BLAU Y, et al. Direct validation of the information bottleneck principle for deep nets[C]. Proceedings of the IEEE/CVF International Conference on Computer Vision Workshop, Seoul, Korea, 2019: 758–762. doi: 10.1109/ICCVW.2019.00099.
    [89] KIM J, LEE B K, and RO Y M. Distilling robust and non-robust features in adversarial examples by information bottleneck[C]. Proceedings of the 35th International Conference on Neural Information Processing Systems, 2021: 1311. doi: 10.5555/3540261. (查阅网上资料,未找到本条文献出版地和doi,请确认).
    [90] GEIRHOS R, RUBISCH P, MICHAELIS C, et al. ImageNet-trained CNNs are biased towards texture; increasing shape bias improves accuracy and robustness[C]. 7th International Conference on Learning Representations, New Orleans, USA, 2019.
    [91] 杨朋波, 桑基韬, 张彪, 等. 面向图像分类的深度模型可解释性研究综述[J]. 软件学报, 2023, 34(1): 230–254. doi: 10.13328/j.cnki.jos.006415.

    YANG Pengbo, SANG Jitao, ZHANG Biao, et al. Survey on interpretability of deep models for image classification[J]. Journal of Software, 2023, 34(1): 230–254. doi: 10.13328/j.cnki.jos.006415.
    [92] LUNCEFORD J K and DAVIDIAN M. Stratification and weighting via the propensity score in estimation of causal treatment effects: A comparative study[J]. Statistics in Medicine, 2004, 23(19): 2937–2960. doi: 10.1002/sim.1903.
    [93] SRIVASTAVA M, HASHIMOTO T, and LIANG P. Robustness to spurious correlations via human annotations[C]. Proceedings of the 37th International Conference on Machine Learning, 2020: 845. (查阅网上资料, 未找到本条文献出版地, 请确认).
    [94] NAM J, KIM J, LEE J, et al. Spread spurious attribute: Improving worst-group accuracy with spurious attribute estimation[C]. The 10th International Conference on Learning Representations, 2022. (查阅网上资料, 未找到本条文献出版地, 请确认).
    [95] PULI A M, JOSHI N, HE E, et al. Nuisances via negativa: Adjusting for spurious correlations via data augmentation[C]. The 11th International Conference on Learning Representations, Kigali, Rwanda, 2023.
    [96] YAO Huaxiu, WANG Yu, LI Sai, et al. Improving out-of-distribution robustness via selective augmentation[C]. Proceedings of the 39th International Conference on Machine Learning, Baltimore, USA, 2022: 25407–25437.
    [97] WU S, YUKSEKGONUL M, ZHANG Linjun, et al. Discover and cure: Concept-aware mitigation of spurious correlation[C]. Proceedings of the 40th International Conference on Machine Learning, Honolulu, USA, 2023: 1574.
    [98] SHALIT U, JOHANSSON F D, and SONTAG D. Estimating individual treatment effect: Generalization bounds and algorithms[C]. Proceedings of the 34th International Conference on Machine Learning, Sydney, Australia, 2017: 3076–3085.
    [99] HASSANPOUR N and GREINER R. CounterFactual regression with importance sampling weights[C]. Proceedings of the 28th International Joint Conference on Artificial Intelligence, Macao, China, 2019: 5880–5887. doi: 10.24963/ijcai.2019/815.
    [100] ZHANG Xingxuan, CUI Peng, XU Renzhe, et al. Deep stable learning for out-of-distribution generalization[C]. Proceedings of the IEEE/CVF Conference on Computer Vision and Pattern Recognition, Nashville, USA, 2021: 5368–5378, doi: 10.1109/CVPR46437.2021.00533.
    [101] LIU Mingzhou, LEE C W, SUN Xinwei, et al. Learning causal alignment for reliable disease diagnosis[C]. The 13th International Conference on Learning Representations, Singapore, Singapore, 2025: 1–19.
    [102] 郭礼华, 王广飞. 基于任务感知关系网络的少样本图像分类[J]. 电子与信息学报, 2024, 46(3): 977–985. doi: 10.11999/JEIT230162.

    GUO Lihua and WANG Guangfei. Few-shot Image classification based on task-aware relation network[J]. Journal of Electronics & Information Technology, 2024, 46(3): 977–985. doi: 10.11999/JEIT230162.
    [103] 赵凤, 耿苗苗, 刘汉强, 等. 卷积神经网络与视觉Transformer联合驱动的跨层多尺度融合网络高光谱图像分类方法[J]. 电子与信息学报, 2024, 46(5): 2237–2248. doi: 10.11999/JEIT231209.

    ZHAO Feng, GENG Miaomiao, LIU Hanqiang, et al. Convolutional neural network and vision Transformer-driven cross-layer multi-scale fusion network for hyperspectral image classification[J]. Journal of Electronics & Information Technology, 2024, 46(5): 2237–2248. doi: 10.11999/JEIT231209.
    [104] KARAGODIN N, POLYANSKIY Y, and RIGOLLET P. Clustering in causal attention masking[C]. Proceedings of the 38th International Conference on Neural Information Processing Systems, Vancouver, Canada, 2024: 3673.
    [105] LEVY D, CARMON Y, DUCHI J C, et al. Large-scale methods for distributionally robust optimization[C]. Proceedings of the 34th International Conference on Neural Information Processing Systems, Vancouver, Canada, 2020: 742.
    [106] YIN Mingzhang, WANG Yixin, and BLEI D M. Optimization-based causal estimation from heterogeneous environments[J]. The Journal of Machine Learning Research, 2024, 25(1): 168.
    [107] SAGAWA S, KOH P W, HASHIMOTO T B, et al. Distributionally robust neural networks for group shifts: On the importance of regularization for worst-case generalization[C]. Proceedings of the International Conference on Learning Representations, 2020. doi: 10.48550/arXiv.1911.08731. (查阅网上资料,未找到本条文献信息,请确认).
    [108] BAHNG H, CHUN S, YUN S, et al. Learning de-biased representations with biased representations[C]. Proceedings of the 37th International Conference on Machine Learning, Vienna, Austria, 2020: 50.
    [109] KIM N, HWANG S, AHN S, et al. Learning debiased classifier with biased committee[J]. Proceedings of the 36th International Conference on Neural Information Processing Systems, New Orleans, USA, 2022: 1337.
    [110] SELVARAJU R R, COGSWELL M, DAS A, et al. Grad-CAM: Visual explanations from deep networks via gradient-based localization[C]. Proceedings of the IEEE International Conference on Computer Vision, Venice, Italy, 2017: 618–626. doi: 10.1109/ICCV.2017.74. (查阅网上资料,本条文献与第54条重复,请确认).
    [111] LI Kunpeng, WU Ziyan, PENG Kuanchuan, et al. Tell me where to look: Guided attention inference network[C]. Proceedings of the IEEE/CVF Conference on Computer Vision and Pattern Recognition, Salt Lake City, USA, 2018: 9215–9223. doi: 10.1109/CVPR.2018.00960.
    [112] 李哲, 王可, 王彪, 等. 人机融合智能决策: 概念、框架与应用[J]. 电子与信息学报, 2025, 47(10): 3439–3464. doi: 10.11999/JEIT250260.

    LI Zhe, WANG Ke, WANG Biao, et al. Human-machine fusion intelligent decision-making: Concepts, framework, and applications[J]. Journal of Electronics & Information Technology, 2025, 47(10): 3439–3464. doi: 10.11999/JEIT250260.
    [113] 罗建豪, 吴建鑫. 基于深度卷积特征的细粒度图像分类研究综述[J]. 自动化学报, 2017, 43(8): 1306–1318. doi: 10.16383/j.aas.2017.c160425.

    LUO Jianhao and WU Jianxin. A survey on fine-grained image categorization UsingDeep convolutional features[J]. Acta Automatica Sinica, 2017, 43(8): 1306–1318. doi: 10.16383/j.aas.2017.c160425.
    [114] 申志军, 穆丽娜, 高静, 等. 细粒度图像分类综述[J]. 计算机应用, 2023, 43(1): 51–60. doi: 10.11772/j.issn.1001-9081.2021122090.

    SHEN Zijun, MU Lina, GAO Jing, et al. Review of fine-grained image categorization[J]. Journal of Computer Applications, 2023, 43(1): 51–60. doi: 10.11772/j.issn.1001-9081.2021122090.
    [115] 钟玲, 王添娇. 细粒度图像分类研究方法综述[J]. 信息记录材料, 2024, 25(7): 57–61. doi: 10.16009/j.cnki.cn13-1295/tq.2024.07.039.

    ZHONG Ling and WANG Tianjiao. A review of research methods for fine-grained image classification[J]. Information Recording Materials, 2024, 25(7): 57–61. doi: 10.16009/j.cnki.cn13-1295/tq.2024.07.039. (查阅网上资料,未找到本条文献英文翻译,请确认).
    [116] LI Zongyu, GUO Xiaobo, and QIANG Siwei. A survey of deep causal models and their industrial applications[J]. Artificial Intelligence Review, 2024, 57(11): 298. doi: 10.1007/s10462-024-10886-0.
    [117] SCHöLKOPF B, LOCATELLO F, BAUER S, et al. Toward causal representation learning[J]. Proceedings of the IEEE, 2021, 109(5): 612–634. doi: 10.1109/JPROC.2021.3058954.
    [118] TANG Wenbo, SHIN J D, and JADHAV S P. Geometric transformation of cognitive maps for generalization across hippocampal-prefrontal circuits[J]. Cell Reports, 2023, 42(3): 112246. doi: 10.1016/j.celrep.2023.112246.
    [119] DZANZA R and KABASO B. A survey on causal representation learning techniques to extract causal features for causal machine learning model building[C]. ICT for Intelligent Systems, Singapore, Singapore, 2024: 107–117. doi: 10.1007/978-981-97-5810-4_10.
    [120] CUI Peng and ATHEY S. Stable learning establishes some common ground between causal inference and machine learning[J]. Nature Machine Intelligence, 2022, 4(2): 110–115. doi: 10.1038/s42256-022-00445-z.
    [121] ZHANG Tianren, ZHAO Chujie, CHEN Guanyu, et al. Feature contamination: Neural networks learn uncorrelated features and fail to generalize[C]. Proceedings of the 41st International Conference on Machine Learning, Vienna, Austria, 2024: 2502.
    [122] PACHETTI E and COLANTONIO S. A systematic review of few-shot learning in medical imaging[J]. Artificial Intelligence in Medicine, 2024, 156: 102949. doi: 10.1016/j.artmed.2024.102949.
    [123] FALLER P M, VANKADARA L C, MASTAKOURI A A, et al. Self-compatibility: Evaluating causal discovery without ground truth[C]. Proceedings of the 27th International Conference on Artificial Intelligence and Statistics, Valencia, Spain, 2024: 4132–4140.
    [124] LIU Xiaoyu, XU Paiheng, WU Junda, et al. Large language models and causal inference in collaboration: a comprehensive survey[C]. Findings of the Association for Computational Linguistics, Albuquerque, New Mexico, 2025: 7668–7684. doi: 10.18653/v1/2025.findings-naacl.427.
    [125] YANG Linying, CLIVIO O, SHIRVAIKAR V, et al. A critical review of causal reasoning benchmarks for large language models[C]. AAAI 2024 Workshop on "Are Large Language Models Simply Causal Parrots?", Vancouver, Canada, 2024. doi.
    [126] JIN Zhijing, CHEN Yuen, LEEB F, et al. CLADDER: Assessing causal reasoning in language models[C]. Proceedings of the 37th International Conference on Neural Information Processing Systems, New Orleans, USA, 2023: 31038–31065.
    [127] 王逸豪, 黄敬英, 范勤勤. 基于因果模型和多模态多目标优化的两阶段特征选择方法[J]. 陕西师范大学学报: 自然科学版, 2023, 51(5): 25–34. doi: 10.15983/j.cnki.jsnu.2023023.

    WANG Yihao, HUANG Jingying, and FAN Qinqin. A two-stage feature selection method based on causal model and multimodal multi-objective optimization[J]. Journal of Shaanxi Normal University: Natural Science Edition, 2023, 51(5): 25–34. doi: 10.15983/j.cnki.jsnu.2023023.
    [128] SUTTON R. The bitter lesson[EB/OL]. http://www.incompleteideas.net/IncIdeas/BitterLesson.html, 2025.
  • 加载中
图(6) / 表(3)
计量
  • 文章访问数:  356
  • HTML全文浏览量:  271
  • PDF下载量:  54
  • 被引次数: 0
出版历程
  • 收稿日期:  2025-08-07
  • 修回日期:  2026-02-12
  • 录用日期:  2026-02-13
  • 网络出版日期:  2026-03-07

目录

    /

    返回文章
    返回