Advanced Search
Turn off MathJax
Article Contents
HE Zhangqing, LUO Siyu, ZHANG Junming, ZHANG Yin, WAN Meilin. Hybrid PUF Tag Generation Technology for Battery Anti-counterfeiting[J]. Journal of Electronics & Information Technology. doi: 10.11999/JEIT250967
Citation: HE Zhangqing, LUO Siyu, ZHANG Junming, ZHANG Yin, WAN Meilin. Hybrid PUF Tag Generation Technology for Battery Anti-counterfeiting[J]. Journal of Electronics & Information Technology. doi: 10.11999/JEIT250967

Hybrid PUF Tag Generation Technology for Battery Anti-counterfeiting

doi: 10.11999/JEIT250967 cstr: 32379.14.JEIT250967
Funds:  National Natural Science Foundation of China (Grant No.: 62271194, 62304073), Joint Fund Project of Hubei Provincial Natural Science Foundation (Grant No.: 2025AFD029)
  • Accepted Date: 2026-01-04
  • Rev Recd Date: 2026-01-04
  • Available Online: 2026-01-15
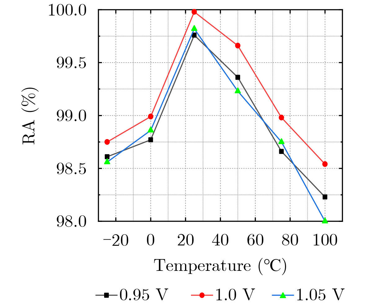
  •   Objective  With the global transition towards a low-carbon economy, power batteries have become crucial energy storage carriers. The traceability and security of their entire life cycle are foundational to industrial governance. In 2023, the Global Battery Alliance (GBA) introduced the "Battery Passport" system, requiring each battery to have a unique, tamper-proof, and verifiable digital identity. However, traditional digital tag solutions—such as QR codes and RFID—rely on pre-written static storage, making them vulnerable to physical cloning, data extraction, and environmental degradation. To address these issues, this paper proposes a battery anti-counterfeiting tag generation technology based on hybrid Physical Unclonable Function (PUF). The technology leverages a triple physical coupling mechanism among the battery, PCB, and IC to generate a unique battery ID, ensuring strong physical binding and anti-counterfeiting capabilities at the system level.  Methods  The proposed battery anti-counterfeiting tag consists of four core modules: an off-chip RC battery fingerprint extraction circuit, an on-chip Arbiter PUF module, an on-chip delay compensation module, and a reliability enhancement module. The off-chip RC circuit utilizes the physical coupling between the battery negative tab and the PCB's copper-clad area to form a capacitor structure, which introduces inherent manufacturing variations as a entropy source. The on-chip Arbiter PUF converts manufacturing deviations into a unique digital signature. To mitigate systemic biases caused by asymmetrical routing and off-circuit delays, a programmable delay compensation module with coarse and fine-tuning units is integrated. A reliability enhancement module is also embedded to automatically filter out unreliable response bits by monitoring delay deviations, thereby improving the reliability of the generated responses without complex error-correcting codes.  Results and Discussions  The proposed structure was implemented and tested using an FPGA Spartan-6 chip, a custom PCB, and 100Ah blade batteries. Experimental results demonstrate excellent performance: the randomness of the tag reached 48.85%, and the uniqueness averaged 49.15% under normal conditions (Fig. 11). The stability (RA) was as high as 99.98% at room temperature and normal voltage, and remained above 98% even under extreme conditions (100°C, 1.05V) (Fig. 12). To evaluate anti-desoldering capability, three physical tampering scenarios were tested: battery replacement, PCB replacement, and IC replacement. The average response change rates were 14.86%, 24.58%, and 41.66%, respectively (Fig. 13), confirming the strong physical binding among the battery, PCB, and chip. These results validate that the proposed triple physical coupling mechanism effectively resists counterfeiting and tampering.  Conclusions  This paper presents a battery anti-counterfeiting tag generation technology based on a triple physical coupling mechanism. By binding the battery tab, PCB, and chip into a unified physical structure and extracting unique fingerprints from manufacturing variations, the proposed method achieves high randomness, uniqueness, and stability. The tag is highly sensitive to physical tampering, providing a reliable foundation for battery authentication throughout its life cycle. Future work will focus on validating the structure with more advanced chip fabrication processes and different PCB manufacturers, as well as further optimizing the design for broader application.
  • loading
  • [1]
    BUTERA A and GATTESCHI V. EU battery regulation and the role of blockchain in creating digital battery passports[C]. 2024 6th Conference on Blockchain Research & Applications for Innovative Networks and Services, Berlin, Germany, 2024: 1–4. doi: 10.1109/BRAINS63024.2024.10732126.
    [2]
    ABEDI F, SAARI U A, and HAKOLA L. Implementation and adoption of digital product passports: A systematic literature review[C]. 2024 IEEE International Conference on Engineering, Technology, and Innovation, Funchal, Portugal, 2024: 1–9. doi: 10.1109/ICE/ITMC61926.2024.10794320.
    [3]
    SCANZIO S, ROSANI M, SCAMUZZI M, et al. QR Codes: From a survey of the state of the art to executable eQR codes for the internet of things[J]. IEEE Internet of Things Journal, 2024, 11(13): 23699–23710. doi: 10.1109/JIOT.2024.3385542.
    [4]
    SCHERR F, BASIC F, EDER P, et al. Next-generation battery management systems: Integrating RFID for battery passport applications[C]. 2024 IEEE International Conference on RFID Technology and Applications, Daytona Beach, USA, 2024: 137–140. doi: 10.1109/RFID-TA64374.2024.10965188.
    [5]
    KANG Bohan, JIA Jingdun, GAO Wanlin, et al. Research on improved character encoding methods based on QR code[J]. Chinese Journal of Electronics, 2019, 28(6): 1170–1176. doi: 10.1049/cje.2019.07.005.
    [6]
    孙子文, 叶乔. 利用震荡环频率特性提取多位可靠信息熵的物理不可克隆函数研究[J]. 电子与信息学报, 2021, 43(1): 234–241. doi: 10.11999/JEIT191013.

    SUN Ziwen and YE Qiao. Study on the physical unclonable function of the reliable information entropy extracted by the frequency characteristic of oscillating ring[J]. Journal of Electronics & Information Technology, 2021, 43(1): 234–241. doi: 10.11999/JEIT191013.
    [7]
    刘政林, 刘柏均, 鲁赵骏, 等. 一种低资源消耗的物理不可克隆函数FPGA设计[J]. 华中科技大学学报(自然科学版), 2016, 44(2): 5–8. doi: 10.13245/j.hust.160202.

    LIU Zhenglin, LIU Bojun, LU Zhaojun, et al. FPGA design of low resource consumed arbiter PUF[J]. Journal of Huazhong University of Science and Technology (Natural Science Edition), 2016, 44(2): 5–8. doi: 10.13245/j.hust.160202.
    [8]
    姜冬梅, 唐旭升, 李冰, 等. 针对静态随机存取存储器物理不可克隆功能密钥提取的优化方法研究[J]. 电子与信息学报, 2025, 47(9): 3220–3229. doi: 10.11999/JEIT250551.

    JIANG Dongmei, TANG Xusheng, LI Bing, et al. Research on optimization methods for static random-access memory–physical unclonable function key extraction[J]. Journal of Electronics & Information Technology, 2025, 47(9): 3220–3229. doi: 10.11999/JEIT250551.
    [9]
    李大为, 陈铁男, 周瑶, 等. 混合开关电容物理不可克隆函数和一次性可编程的片上RSA加密算法私钥生成方法[J]. 电子与信息学报, 2025, 47(9): 3146–3154. doi: 10.11999/JEIT250382.

    LI Dawei, CHEN Tienan, ZHOU Yao, et al. Generating private key of RSA encryption algorithm using one time programmable on-chip switched capacitor physical unclonable functions[J]. Journal of Electronics & Information Technology, 2025, 47(9): 3146–3154. doi: 10.11999/JEIT250382.
    [10]
    MIURA N, TAKAHASHI M, NAGATOMO K, et al. Chip-Package-Board interactive PUF utilizing coupled chaos oscillators with inductor[J]. IEEE Journal of Solid-State Circuits, 2018, 53(10): 2889–2897. doi: 10.1109/JSSC.2018.2852325.
    [11]
    WAN Meilin, ZHANG Zhen, ZHANG Yin, et al. A chip-PCB hybrid SC PUF used for anti-desoldering and depackaging-attack protection[J]. IEEE Journal of Solid-State Circuits, 2024, 59(7): 2330–2344. doi: 10.1109/JSSC.2024.3352048.
    [12]
    ZHANG Dongrong, REN Qiang, and SU Donglin. A novel authentication methodology to detect counterfeit PCB using PCB trace-based ring oscillator[J]. IEEE Access, 2021, 9: 28525–28539. doi: 10.1109/ACCESS.2021.3059100.
    [13]
    HABIB B, GAJ K, and KAPS J P. FPGA PUF based on programmable LUT delays[C]. 2013 Euromicro Conference on Digital System Design, Los Alamitos, USA, 2013: 697–704. doi: 10.1109/DSD.2013.79.
    [14]
    HE Zhangqing, CHEN Wanbo, ZHANG Lingchao, et al. A highly reliable arbiter PUF with improved uniqueness in FPGA implementation using bit-self-test[J]. IEEE Access, 2020, 8: 181751–181762. doi: 10.1109/ACCESS.2020.3028514.
    [15]
    MA Qingqing, GU Chongyan, HANLEY N, et al. A machine learning attack resistant multi-PUF design on FPGA[C]. 2018 23rd Asia and South Pacific Design Automation Conference, Jeju, Korea (South), 2018: 97–104, doi: 10.1109/ASPDAC.2018.8297289.
    [16]
    RÜHRMAIR U, SÖLTER J, SEHNKE F, et al. PUF modeling attacks on simulated and silicon data[J]. IEEE Transactions on Information Forensics and Security, 2013, 8(11): 1876–1891. doi: 10.1109/TIFS.2013.2279798.
  • 加载中

Catalog

    通讯作者: 陈斌, bchen63@163.com
    • 1. 

      沈阳化工大学材料科学与工程学院 沈阳 110142

    1. 本站搜索
    2. 百度学术搜索
    3. 万方数据库搜索
    4. CNKI搜索

    Figures(14)

    Article Metrics

    Article views (47) PDF downloads(4) Cited by()
    Proportional views
    Related

    /

    DownLoad:  Full-Size Img  PowerPoint
    Return
    Return