Advanced Search
Turn off MathJax
Article Contents
KE Rongjie, WANG Hongbin, CHENG Yujian. Research on A Miniaturized Wide Stopband Folded Substrate Integrated Waveguide Filter[J]. Journal of Electronics & Information Technology. doi: 10.11999/JEIT250869
Citation: KE Rongjie, WANG Hongbin, CHENG Yujian. Research on A Miniaturized Wide Stopband Folded Substrate Integrated Waveguide Filter[J]. Journal of Electronics & Information Technology. doi: 10.11999/JEIT250869

Research on A Miniaturized Wide Stopband Folded Substrate Integrated Waveguide Filter

doi: 10.11999/JEIT250869 cstr: 32379.14.JEIT250869
  • Accepted Date: 2025-12-29
  • Rev Recd Date: 2025-12-29
  • Available Online: 2026-01-05
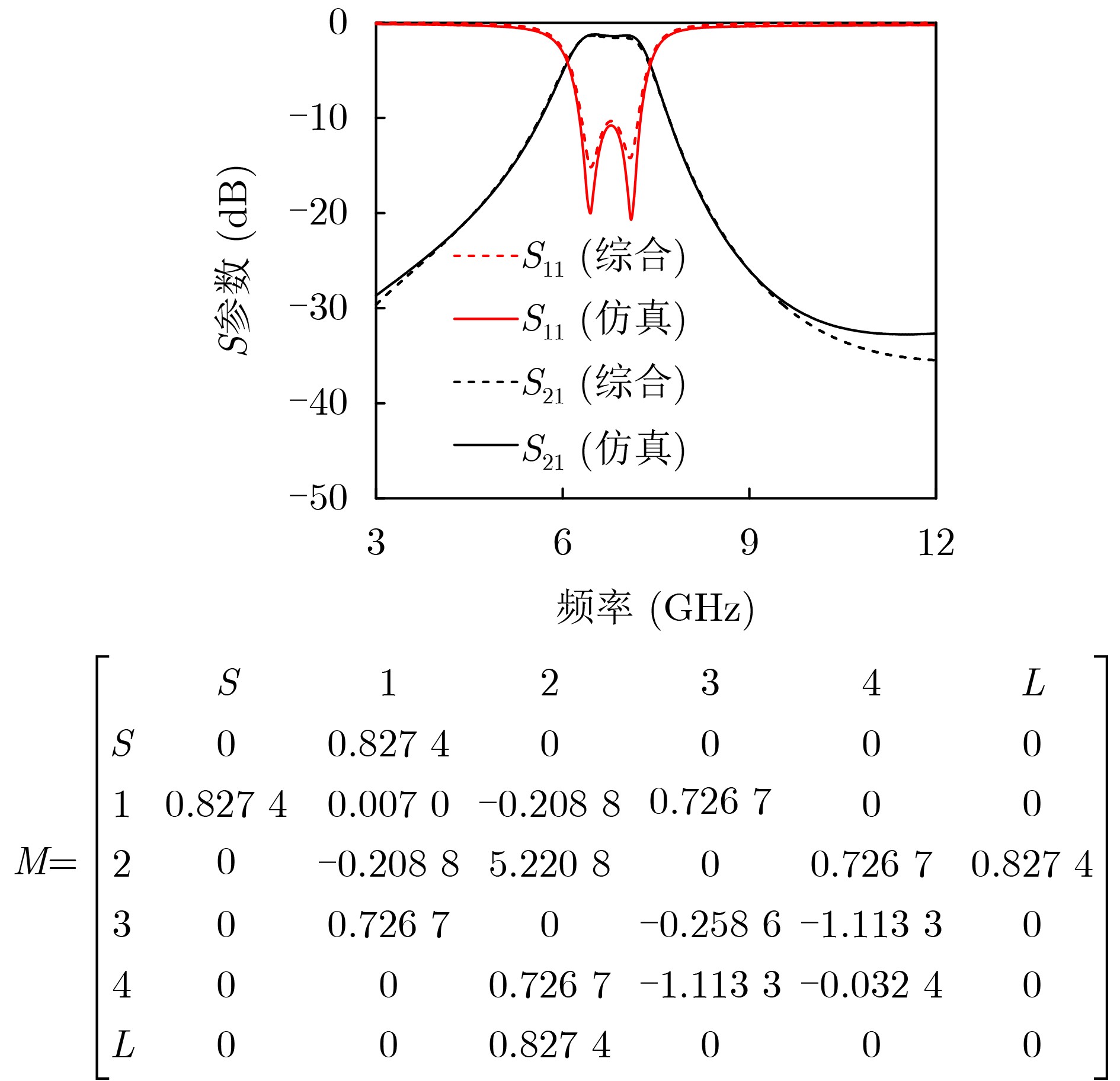
  • To meet the requirements of 5G/6G communication systems for miniaturization, high integration, and wide stopband, a fourth-order bandpass filter based on the eighth-mode folded substrate integrated waveguide (FSIW) is proposed in this paper using high-temperature co-fired ceramic (HTCC) technology. The miniaturization advantages of folded SIW are combined with the three-dimensional integration characteristics of HTCC in this filter. Size reduction is achieved through the eighth-mode FSIW cavity structure, with a size of 0.29λg × 0.29λg, where λg is the waveguide wavelength corresponding to its center operating frequency (f0). High-order mode coupling is suppressed using metal vias, transmission zeros are introduced by loading a bent microstrip line, and the high-frequency response is optimized through the addition of an L-shaped stub. As a result, three controllable transmission zeros are formed in the upper stopband, with a wide stopband characteristic of 20 dB@3.73f0 achieved. The measured results show that the filter has a center frequency of 6.4 GHz. Although it exhibits a certain amount of frequency deviation and insertion loss, compared with existing research, it demonstrates distinct advantages in terms of miniaturization, stopband width, and the number of transmission zeros, holding promising potential for applications in high-density integrated communication systems.  Objective  With the rapid advancement of 5G/6G communication systems, there is an urgent demand for radio frequency (RF) microwave devices that combine miniaturization, high integration, and wide stopband performance. As a core component of RF transceiver front-ends, bandpass filters play a critical role in transmitting useful signals and suppressing interference. Traditional substrate integrated waveguide (SIW) filters suffer from limitations such as large size, restricted stopband extension, and insufficient controllability of transmission zeros, which hinder their application in high-density integrated communication systems. To address these challenges, this paper proposes a miniaturized wide stopband fourth-order bandpass filter based on eighth-mode folded substrate integrated waveguide (FSIW) and high-temperature co-fired ceramic (HTCC) technology, which aims to achieve a balance between compact size and broad stopband.  Methods  The proposed filter integrates the miniaturization advantage of folded SIW with the three-dimensional integration capability of HTCC technology. First, an eighth-mode FSIW cavity structure is designed by modifying the quarter-mode FSIW cavity. The square patch is replaced with a triangular patch (i.e., eighth-mode cavity I), and slots are further etched in the triangular patch (i.e., eighth-mode cavity Ⅱ). Second, a fourth-order bandpass filter is constructed by symmetrically designing two triangular metal patches for each cavity type and stacking them vertically, with a common metal layer (fifth layer) featuring coupling windows to enable coupling between upper and lower cavities. To optimize performance, three key techniques are employed: metal vias to suppress high-order mode coupling, bent microstrip lines to introduce transmission zeros, and an L-shaped stub to improve high-frequency response. Finally, parameter scanning analysis is conducted on critical dimensions (d2, s4, s6) to verify the controllability of transmission zeros, and the filter is fabricated using HTCC technology, employing the Al2O3 substrate with relative permittivity 9.8 and loss tangent 0.0002.  Results and Discussions  The measured results indicate that the proposed filter achieves a center frequency of 6.4 GHz. Although processing and assembly errors lead to slight frequency deviation and increased insertion loss, the filter exhibits outstanding performance compared to existing designs (Table 2). In terms of miniaturization, the filter achieves a size of 0.29λg×0.29λg, which is significantly smaller than most reported SIW filters. Regarding stopband performance, the upper stopband extends to 20dB@3.73f0, which is superior to that of filters with comparable sizes. Three controllable transmission zeros are generated in the upper stopband, with parameter scanning verifying their flexibility (Fig.13).  Conclusions  A miniaturized wide stopband fourth-order bandpass filter based on eighth-mode FSIW is successfully designed in this paper. The key achievements are summarized as follows. For one thing, the eighth-mode FSIW cavity structure combined with HTCC technology delivers a compact size of 0.29λg×0.29λg, meeting the high integration demands of 5G/6G systems. For another, the integration of metal vias, bent microstrip lines, and L-shaped stubs realizes a wide stopband of 20 dB@3.73f0 along with three controllable transmission zeros, which enhances interference suppression capability. Additionally, parameter adjustment allows for flexible tuning of transmission zero positions without influencing the passband, improving design flexibility for different interference conditions. Overall, these innovations collectively overcome the challenges of miniaturization, stopband performance, and design flexibility in SIW filters, offering a practical and competitive solution for the RF front-ends of next-generation high-density integrated communication systems.
  • loading
  • [1]
    ZHANG Yin, DENG Jingya, SUN Dongquan, et al. Slow wave substrate-integrated waveguide with miniaturized dimensions and broadened bandwidth[J]. IEEE Transactions on Microwave Theory and Techniques, 2021, 69(8): 3675–3683. doi: 10.1109/TMTT.2021.3074170.
    [2]
    WANG Ningning, ZHANG Dewei, LIU Qing, et al. A compact half-mode substrate integrated waveguide bandpass filter based on highly confined slow waves with loading capacitive patches[J]. IET Microwaves, Antennas & Propagation, 2024, 18(10): 771–778. doi: 10.1049/mia2.12501.
    [3]
    ZHAO Zhiyuan, PENG Cheng, WANG Shuxing, et al. Enhanced dual- and triple-band bandpass filters using slot-line perturbed HMSIW resonators[J]. IEICE Electronics Express, 2024, 21(23): 20240544. doi: 10.1587/elex.21.20240544.
    [4]
    KIM P and JEONG Y. Compact and wide stopband substrate integrated waveguide bandpass filter using mixed quarter- and one-eighth modes cavities[J]. IEEE Microwave and Wireless Components Letters, 2020, 30(1): 16–19. doi: 10.1109/LMWC.2019.2954603.
    [5]
    WANG Xiang, ZHU Xiaowei, JIANG Zhihao, et al. Analysis of eighth-mode substrate-integrated waveguide cavity and flexible filter design[J]. IEEE Transactions on Microwave Theory and Techniques, 2019, 67(7): 2701–2712. doi: 10.1109/TMTT.2019.2913646.
    [6]
    QIU Liangfeng, XIE Bing, WU Linsheng, et al. A flat-passband predistorted bandpass filter with folded substrate integrated waveguide[J]. IEEE Transactions on Circuits and Systems II: Express Briefs, 2022, 69(2): 324–328. doi: 10.1109/TCSII.2021.3092973.
    [7]
    LIU Qing, ZHANG Dewei, GONG Ke, et al. Single- and dual-band bandpass filters based on multiple-mode folded substrate-integrated waveguide cavities[J]. IEEE Transactions on Microwave Theory and Techniques, 2023, 71(12): 5335–5345. doi: 10.1109/TMTT.2023.3276058.
    [8]
    CLAUS N, KAPUSUZ K Y, VERHAEVERT J, et al. Compact and hybrid dual-band bandpass filter using folded multimode resonators and second-mode suppression[J]. Electronics, 2024, 13(10): 1921. doi: 10.3390/electronics13101921.
    [9]
    SEKAR V, ARMENDARIZ M, and ENTESARI K. A 1.2–1.6-GHz substrate-integrated-waveguide RF MEMS tunable filter[J]. IEEE Transactions on Microwave Theory and Techniques, 2011, 59(4): 866–876. doi: 10.1109/TMTT.2011.2109006.
    [10]
    LIU Qing, WEI Jinjin, GONG Ke, et al. Wide-stopband substrate integrated waveguide filters based on single-mode cavities with multiple-cross slots[J]. IEEE Transactions on Circuits and Systems II: Express Briefs, 2023, 70(12): 4369–4373. doi: 10.1109/TCSII.2023.3285661.
    [11]
    GUPTA A and KHAN A A. Substrate integrated waveguide bandpass filter with wide upper stopband[J]. AEU-International Journal of Electronics and Communications, 2025, 191: 155663. doi: 10.1016/j.aeue.2025.155663.
    [12]
    ZHU Yilong and DONG Yuandan. A novel compact wide-stopband filter with hybrid structure by combining SIW and microstrip technologies[J]. IEEE Microwave and Wireless Components Letters, 2021, 31(7): 841–844. doi: 10.1109/LMWC.2021.3078897.
    [13]
    LIU Qing, ZHANG Dewei, TANG Min, et al. A class of box-like bandpass filters with wide stopband based on new dual-mode rectangular SIW cavities[J]. IEEE Transactions on Microwave Theory and Techniques, 2021, 69(1): 101–110. doi: 10.1109/TMTT.2020.3037497.
    [14]
    GU Lin and DONG Yuandan. Compact half-mode SIW filter with high selectivity and improved stopband performance[J]. IEEE Microwave and Wireless Components Letters, 2022, 32(9): 1039–1042. doi: 10.1109/LMWC.2022.3167036.
    [15]
    CHU Peng, FENG Jianguo, GUO Lei, et al. Using mixed coupling to realize wide stopband multilayer substrate integrated waveguide filter[J]. IEEE Transactions on Circuits and Systems II: Express Briefs, 2023, 70(8): 2744–2748. doi: 10.1109/TCSII.2023.3248095.
    [16]
    WANG Xiang, ZHONG Nengyuan, LI Huangyan, et al. Miniaturized circular substrate integrated waveguide bandpass filter with flexible mixed coupling and wide stopband rejection[J]. IEEE Transactions on Circuits and Systems II: Express Briefs, 2024, 71(8): 3655–3659. doi: 10.1109/TCSII.2024.3369046.
    [17]
    JIAO Mengru, ZHU Fang, CHU Peng, et al. Compact hybrid bandpass filters using substrate-integrated waveguide and stripline resonators[J]. IEEE Transactions on Microwave Theory and Techniques, 2024, 72(1): 391–400. doi: 10.1109/TMTT.2023.3284253.
    [18]
    LI Daotong, LUO Wei, CHEN Xiaoquan, et al. SIW cavity mode analysis and control techniques for compact wide-stopband filters design[J]. IEEE Transactions on Circuits and Systems II: Express Briefs, 2024, 71(7): 3338–3342. doi: 10.1109/TCSII.2024.3364816.
    [19]
    LIU Baoguang, LIU Leilei, BAO Shujie, et al. Ultracompact single- and dual-band FSIW filters with wide stopband based on multiple embedded hybrid resonant modes[J]. IEEE Transactions on Microwave Theory and Techniques, 2025, 73(8): 5248–5259. doi: 10.1109/TMTT.2025.3542777.
  • 加载中

Catalog

    通讯作者: 陈斌, bchen63@163.com
    • 1. 

      沈阳化工大学材料科学与工程学院 沈阳 110142

    1. 本站搜索
    2. 百度学术搜索
    3. 万方数据库搜索
    4. CNKI搜索

    Figures(15)  / Tables(2)

    Article Metrics

    Article views (62) PDF downloads(4) Cited by()
    Proportional views
    Related

    /

    DownLoad:  Full-Size Img  PowerPoint
    Return
    Return