Advanced Search
Volume 48 Issue 1
Jan.  2026
Turn off MathJax
Article Contents
WANG Yiwen, WANG Qianfan, LIANG Jifan, SONG Linqi, MA Xiao. Multi-Matrix Representative Ordered Statistics Decoding[J]. Journal of Electronics & Information Technology, 2026, 48(1): 45-56. doi: 10.11999/JEIT250854
Citation: WANG Yiwen, WANG Qianfan, LIANG Jifan, SONG Linqi, MA Xiao. Multi-Matrix Representative Ordered Statistics Decoding[J]. Journal of Electronics & Information Technology, 2026, 48(1): 45-56. doi: 10.11999/JEIT250854

Multi-Matrix Representative Ordered Statistics Decoding

doi: 10.11999/JEIT250854 cstr: 32379.14.JEIT250854
Funds:  The National Key R&D Program of China (2021YFA1000500), The National Natural Science Foundation of China (62301617, 62371411, 62471506), Guangdong Basic and Applied Basic Research Foundation (2023A1515011056, 2025A1515011650), Guangdong Provincial Quantum Science Strategic Initiative (GDZX2503001), The Young Talent Support Project of Guangzhou Association for Science and Technology (QT-025-048)
  • Received Date: 2025-09-02
  • Accepted Date: 2025-12-31
  • Rev Recd Date: 2025-12-31
  • Available Online: 2026-01-08
  • Publish Date: 2026-01-30
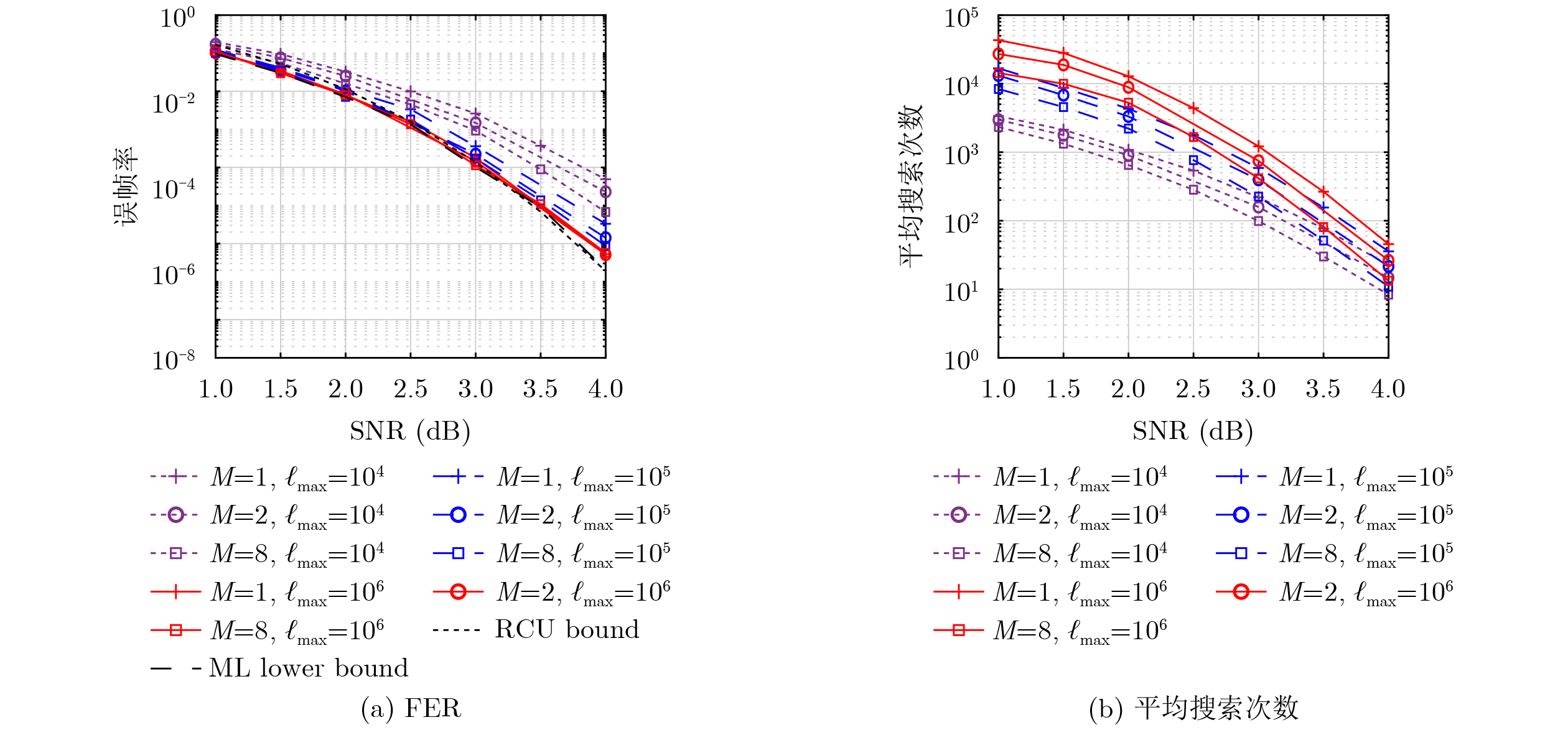
  •   Objective  Representative Ordered Statistics Decoding (ROSD) is a class of efficient decoding algorithms originally proposed for staircase matrix codes. ROSD supports parallel Gaussian Elimination (GE), enabling low-latency implementations. This paper extends ROSD to general linear block codes using the Minimum-Weight Staircase Generator Matrix (MWSGM) construction, which produces staircase-structured matrices for arbitrary linear codes. Based on this construction, a Multi-Matrix Representative Ordered Statistics Decoding (MM-ROSD) framework is proposed. MM-ROSD exploits the diversity of multiple candidate staircase matrices to improve decoding performance and reduce decoding complexity. For performance evaluation, a saddlepoint-approximation-based analytical framework is developed to predict the upper bound of the Frame Error Rate (FER) and to estimate the required average number of searches.  Methods  The proposed MM-ROSD algorithm consists of two main components. (1) Multi-matrix construction and selection strategy: In the construction phase, the first $ M $ minimum-weight candidate codewords are retained as the first row, that is, the first staircase. For each candidate, the remaining rows are searched independently. This process generates $ {M} $ staircase generator matrices with enhanced basis diversity. In the decoding phase, the optimal staircase matrix is selected according to the sum of reliabilities of the available re-encoding bases within each candidate matrix. ROSD is then applied to the selected staircase matrix. (2) Saddlepoint-based performance analysis: A saddlepoint approximation method is used to estimate the FER upper bound and the required average number of searches. This analysis provides guidance for complexity-performance trade-offs and parameter tuning.  Results and Discussions  Extensive simulations are performed over binary phase-shift keying modulated additive white Gaussian noise channels using 5G CA-polar codes $ \mathcal{C}[128{,}64] $ concatenated with an 11-bit Cyclic Redundancy Check (CRC). The main results are summarized as follows. Accuracy of saddlepoint approximation: The predicted FER upper bound closely matches the simulation results over the entire signal-to-noise ratio range. It also tightly approaches both the maximum-likelihood lower bound and the random coding union bound. The estimated average number of searches agrees well with simulation results in the medium and high signal-to-noise ratio regions, validating the accuracy of the analytical framework. Effect of multi-matrix diversity: Increasing the number of pre-stored staircase matrices $ M $ improves basis quality and decoding performance. For example, with $ {M}\in \{1{,}2,8\} $ and a limited maximum number of searches $ {\ell}_{\max }\in \{{10}^{4},{10}^{5},{10}^{6}\} $, the FER performance improves significantly and approaches the finite-length capacity and the ML lower bounds (Fig. 2(a)). Under a limited search list (e.g., $ {\ell}_{\max }={10}^{4} $), both the FER and the average number of searches decrease substantially as $ M $ increases. This improvement mainly results from the higher quality of the re-encoding basis enabled by the multi-matrix strategy. Under larger search budgets (e.g., $ {\ell}_{\max }={10}^{6} $), increasing $ M $ primarily reduces the average number of searches.  Conclusions  This work extends ROSD to general linear block codes and proposes an efficient MM-ROSD framework based on the MWSGM construction. By leveraging the diversity of multiple candidate staircase matrices and the low-latency property of parallel GE, the proposed approach improves decoding performance and reduces the average number of searches. The saddlepoint-based analytical framework accurately predicts both the FER and the average number of searches, providing theoretical support for practical system design. Simulation results show that, under identical maximum search constraints, MM-ROSD achieves notable FER gains and substantial reductions in the average number of searches compared with single-matrix ROSD. These results indicate that MM-ROSD is a promising decoding framework for short-block codes in ultra-reliable low-latency communication and hyper-reliable low-latency communication scenarios.
  • loading
  • [1]
    3GPP. Multiplexing and Channel Coding: TS 38.212[S]. Sophia Antipolis: 3GPP, 2018. https://www.3gpp.org/ftp/Specs/archive/38_series/38.212/
    [2]
    International Telecommunication Union. Framework and overall objectives of the future development of IMT for 2030 and beyond (ITU-R Recommendation M.2160-0)[EB/OL].(2023-11-13)[2025-04-10]. https://www.itu.int/rec/R-REC-M.2160-0-202311-I/en.
    [3]
    ROWSHAN M, QIU Min, XIE Yixuan, et al. Channel coding toward 6G: Technical overview and outlook[J]. IEEE Open Journal of the Communications Society, 2024, 5: 2585–2685. doi: 10.1109/OJCOMS.2024.3390000.
    [4]
    CHEN Qiwang, CHEN Chen, HE Yucheng, et al. Global optimization of double protograph LDPC codes for JSCC scheme[J]. Science China Information Sciences, 2024, 67(6): 169301. doi: 10.1007/s11432-023-4012-9.
    [5]
    XU Zhiping, WANG Lin, and CHEN Guanrong. Joint coding/decoding optimization for DC-BICM system: Collaborative design[J]. IEEE Communications Letters, 2021, 25(8): 2487–2491. doi: 10.1109/LCOMM.2021.3081678.
    [6]
    XU Zhiping, SONG Dan, ZHENG Jiachun, et al. Joint-decoding-complexity-oriented collaborative design for joint source-channel coding system based on double protograph-LDPC codes[J]. Science China Information Sciences, 2023, 66(8): 189301. doi: 10.1007/s11432-022-3765-2.
    [7]
    GAO Jian, SONG Xin, ZHANG Xiaojun, et al. Learning to decode double polar codes for joint source-channel coding[J]. IEEE Transactions on Vehicular Technology, 2025. doi: 10.1109/tvt.2025.3619411.
    [8]
    WU Bolin, NIU Kai, DAI Jincheng, et al. Joint design of channel coding and modulation toward 6G: Probabilistically-shaped polar-coded modulation[J]. IEEE Transactions on Communications, 2025, 73(8): 5538–5553. doi: 10.1109/tcomm.2025.3535865.
    [9]
    LIU Sanya, WANG Lin, CHEN Jun, et al. Joint component design for the JSCC system based on DP-LDPC codes[J]. IEEE Transactions on Communications, 2020, 68(9): 5808–5818. doi: 10.1109/TCOMM.2020.3001647.
    [10]
    YANG Zhaojie, LI Yunye, GUAN Yongliang, et al. Source-constrained hierarchical modulation systems with protograph LDPC codes: A promising transceiver design for future 6G-enabled IoT[J]. IEEE Journal on Selected Areas in Communications, 2025, 43(4): 1103–1117. doi: 10.1109/jsac.2025.3531540.
    [11]
    COŞKUN M C, DURISI G, JERKOVITS T, et al. Efficient error-correcting codes in the short blocklength regime[J]. Physical Communication, 2019, 34: 66–79. doi: 10.1016/j.phycom.2019.03.004.
    [12]
    SHIRVANIMOGHADDAM M, MOHAMMADI M S, ABBAS R, et al. Short block-length codes for ultra-reliable low latency communications[J]. IEEE Communications Magazine, 2019, 57(2): 130–137. doi: 10.1109/mcom.2018.1800181.
    [13]
    YUE Chentao, MILOSLAVSKAYA V, SHIRVANIMOGHADDAM M, et al. Efficient decoders for short block length codes in 6G URLLC[J]. IEEE Communications Magazine, 2023, 61(4): 84–90. doi: 10.1109/MCOM.001.2200275.
    [14]
    FOSSORIER M P C and LIN Shu. Soft-decision decoding of linear block codes based on ordered statistics[J]. IEEE Transactions on Information Theory, 1995, 41(5): 1379–1396. doi: 10.1109/18.412683.
    [15]
    DORSCH B. A decoding algorithm for binary block codes and J-ary output channels[J]. IEEE Transactions on Information Theory, 1974, 20(3): 391–394. doi: 10.1109/TIT.1974.1055217.
    [16]
    WANG Qianfan, WANG Yiwen, WANG Yixin, et al. Random staircase generator matrix codes: Coding theorem, performance analysis, and code design[J]. IEEE Transactions on Information Theory, 2025, 71(5): 3497–3509. doi: 10.1109/TIT.2025.3541734.
    [17]
    WANG Yiwen, LIANG Jifan, WANG Qianfan, et al. Representative ordered statistics decoding of staircase matrix codes[J]. IEEE Transactions on Communications, 2025, 73(4): 2148–2158. doi: 10.1109/TCOMM.2024.3478114.
    [18]
    WANG Qianfan, WANG Yixin, WANG Yiwen, et al. Random staircase generator matrix codes[C]. 2024 IEEE International Symposium on Information Theory (ISIT), Athens, Greece, 2024: 2622–2627. doi: 10.1109/ISIT57864.2024.10619485.
    [19]
    WANG Yiwen, WANG Qianfan, LIANG Jifan, et al. Representative ordered statistics decoding of polar codes[C]. 2024 IEEE 99th Vehicular Technology Conference (VTC2024-Spring), Singapore, Singapore, 2024: 1–5. doi: 10.1109/VTC2024-Spring62846.2024.10683273.
    [20]
    YUE Chentao, SHIRVANIMOGHADDAM M, LI Yonghui, et al. Segmentation-discarding ordered-statistic decoding for linear block codes[C]. 2019 IEEE Global Communications Conference, Waikoloa, USA, 2019: 1–6. doi: 10.1109/GLOBECOM38437.2019.9014173.
    [21]
    YUE Chentao, SHIRVANIMOGHADDAM M, PARK G, et al. Linear-equation ordered-statistics decoding[J]. IEEE Transactions on Communications, 2022, 70(11): 7105–7123. doi: 10.1109/TCOMM.2022.3207206.
    [22]
    YUE Chentao, SHIRVANIMOGHADDAM M, PARK G, et al. Probability-based ordered-statistics decoding for short block codes[J]. IEEE Communications Letters, 2021, 25(6): 1791–1795. doi: 10.1109/LCOMM.2021.3058978.
    [23]
    王千帆, 郭延庚, 宋林琦, 等. 基于跳过机制的低复杂度顺序统计译码算法[J]. 电子与信息学报, 2025, 47(11): 4275–4284. doi: 10.11999/JEIT250447.

    WANG Qianfan, GUO Yangeng, SONG Linqi, et al. Low-complexity ordered statistic decoding algorithm based on skipping mechanisms[J]. Journal of Electronics & Information Technology, 2025, 47(11): 4275–4284. doi: 10.11999/JEIT250447.
    [24]
    WANG Yiwen, LIANG Jifan, and MA Xiao. Local constraint-based ordered statistics decoding for short block codes[C]. 2022 IEEE Information Theory Workshop, Mumbai, India, 2022: 107–112. doi: 10.1109/ITW54588.2022.9965916.
    [25]
    LIANG Jifan, WANG Yiwen, CAI Suihua, et al. A low-complexity ordered statistic decoding of short block codes[J]. IEEE Communications Letters, 2023, 27(2): 400–403. doi: 10.1109/lcomm.2022.3222819.
    [26]
    王义文, 王千帆, 马啸. 强干扰环境下无速率随机码编译码方案及其性能分析[J]. 电子与信息学报, 2024, 46(10): 4017–4023. doi: 10.11999/JEIT230879.

    WANG Yiwen, WANG Qianfan, and MA Xiao. Rateless random coding scheme and performance analysis in strong interference environments[J]. Journal of Electronics & Information Technology, 2024, 46(10): 4017–4023. doi: 10.11999/JEIT230879.
    [27]
    ZHENG Xiangping, WANG Qianfan, WEI Baodian, et al. Quasi-OSD of binary image of RS codes with applications to JSCC[C]. 2024 IEEE International Symposium on Information Theory (ISIT), Athens, Greece, 2024: 3576–3581. doi: 10.1109/ISIT57864.2024.10619269.
    [28]
    WANG Qianfan, CHEN Yanzhi, LIANG Jifan, et al. A new joint source-channel coding in the short blocklength regime[C]. 2023 IEEE Globecom Workshops (GC Wkshps), Kuala Lumpur, Malaysia, 2023: 1566–1571. doi: 10.1109/GCWkshps58843.2023.10464813.
    [29]
    CHEN Yanzhi, LIANG Jifan, WANG Qianfan, et al. A new joint source-channel coding scheme with overlay spread spectrum transmission[C]. 2023 International Conference on Wireless Communications and Signal Processing (WCSP), Hangzhou, China, 2023: 239–244. doi: 10.1109/WCSP58612.2023.10404761.
    [30]
    WANG Qianfan, CHEN Yanzhi, LIANG Jifan, et al. A new joint source-channel coding for short-packet communications[J]. IEEE Transactions on Communications, 2024, 72(1): 28–37. doi: 10.1109/TCOMM.2023.3320699.
    [31]
    WANG Yiwen, WANG Qianfan, ZHENG Xiangping, et al. Reduced-complexity guessing codeword decoding of BCH codes with most reliable cyclic basis[C]. IEEE Global Communications Conference (GLOBECOM), Taipei, China, 2025.
    [32]
    WANG Qianfan, WANG Yiwen, ZHENG Xiangping, et al. Ordered reliability bits guessing codeword decoding of short codes[J]. IEEE Wireless Communications Letters, 2025, 14(9): 2823–2827. doi: 10.1109/LWC.2025.3580156.
    [33]
    ZHENG Xiangping, WANG Qianfan, and MA Xiao. SCL-GCD of short polar codes[C]. IEEE Global Communications Conference (GLOBECOM), Cape Town, South Africa, 2024: 686–691. doi: 10.1109/GLOBECOM52923.2024.10901715.
    [34]
    梁济凡, 王千帆, 宋林琦, 等. 参数列表化置信传播-顺序统计译码算法[J]. 电子与信息学报, 2025, 47(11): 4254–4263. doi: 10.11999/JEIT250552.

    LIANG Jifan, WANG Qianfan, SONG Linqi, et al. Belief propagation-ordered statistics decoding algorithm with parameterized list structures[J]. Journal of Electronics & Information Technology, 2025, 47(11): 4254–4263. doi: 10.11999/JEIT250552.
    [35]
    LIANG Jifan, WANG Qianfan, LI Lvzhou, et al. The BP-LCOSD algorithm for Toric codes[C]. IEEE International Symposium on Information Theory Workshops (ISIT-W), Athens, Greece, 2024: 1–6. doi: 10.1109/ISIT-W61686.2024.10591758.
    [36]
    LIANG Jifan, WANG Qianfan, LI Lvzhou, et al. A low-complexity BP-OSD algorithm for quantum LDPC codes[J]. The European Physical Journal Special Topics, 2025. doi: 10.1140/epjs/s11734-025-01712-x .
    [37]
    LIANG Jifan, WANG Qianfan, LI Lvzhou, et al. A high-performance list decoding algorithm for surface codes with erroneous syndrome[J]. arXiv: 2409.06979, 2024. doi: 10.48550/arXiv.2409.06979.
    [38]
    WANG Qianfan, LIANG Jifan, LI Lvzhou, et al. BP-LCGCD: A Gaussian-elimination-free and high-performance decoder for surface codes[J]. IEEE Communications Letters. 2026, 30: 782–786. doi: 10.1109/LCOMM.2025.3646724.
    [39]
    YANG Lijia and CHEN Li. Low-latency ordered statistics decoding of BCH codes[C]. 2022 IEEE Information Theory Workshop (ITW), Mumbai, India, 2022: 404–409. doi: 10.1109/ITW54588.2022.9965799.
    [40]
    YUE Chentao, SHIRVANIMOGHADDAM M, VUCETIC B, et al. Ordered-statistics decoding with adaptive Gaussian elimination reduction for short codes[C]. 2022 IEEE Globecom Workshops (GC Wkshps), Rio de Janeiro, Brazil, 2022: 492–497. doi: 10.1109/GCWkshps56602.2022.10008654.
    [41]
    CHOI C and JEONG J. Fast soft decision decoding algorithm for linear block codes using permuted generator matrices[J]. IEEE Communications Letters, 2021, 25(12): 3775–3779. doi: 10.1109/LCOMM.2021.3097322.
    [42]
    FOSSORIER M, SHAKIBA-HERFEH M, and ZHANG Huazi. Modified OSD algorithm with reduced Gaussian elimination[J]. IEEE Communications Letters, 2024, 28(8): 1755–1759. doi: 10.1109/LCOMM.2024.3416515.
    [43]
    LI Xihao, CHEN Wenhao, CHEN Li, et al. Iterative basis update for ordered statistics decoding of linear block codes[J]. IEEE Communications Letters, 2024, 28(9): 1981–1985. doi: 10.1109/lcomm.2024.3425388.
    [44]
    DIVSALAR D. A simple tight bound on error probability of block codes with application to turbo codes[R]. TMO Progress Report 42-139, 1999.
    [45]
    POLYANSKIY Y, POOR H V, and VERDÚ S. Channel coding rate in the finite blocklength regime[J]. IEEE Transactions on Information Theory, 2010, 56(5): 2307–2359. doi: 10.1109/TIT.2010.2043769.
    [46]
    WANG Yiwen, WANG Qianfan, LIANG Jifan, et al. Representative OSD with local constraints of CA-polar codes[J]. Chinese Journal of Electronics, 2025, 34(4): 1111–1119. doi: 10.23919/cje.2024.00.220.
    [47]
    BUTLER R W. Saddlepoint Approximations with Applications[M]. Cambridge: Cambridge University Press, 2007, Chapter 3: 75–91.
    [48]
    FONT-SEGURA J, VAZQUEZ-VILAR G, MARTINEZ A, et al. Saddlepoint approximations of lower and upper bounds to the error probability in channel coding[C]. 2018 52nd Annual Conference on Information Sciences and Systems (CISS), Princeton, USA, 2018: 1–6. doi: 10.1109/CISS.2018.8362304.
  • 加载中

Catalog

    通讯作者: 陈斌, bchen63@163.com
    • 1. 

      沈阳化工大学材料科学与工程学院 沈阳 110142

    1. 本站搜索
    2. 百度学术搜索
    3. 万方数据库搜索
    4. CNKI搜索

    Figures(3)  / Tables(1)

    Article Metrics

    Article views (346) PDF downloads(160) Cited by()
    Proportional views
    Related

    /

    DownLoad:  Full-Size Img  PowerPoint
    Return
    Return