Advanced Search
Volume 48 Issue 1
Jan.  2026
Turn off MathJax
Article Contents
ZHU Kaiji, MA Ruiqian, LIN Zhi, MA Yue, WANG Yong, GUAN Xinrong, CAI Yueming. Short-packet Covert Communication Design for Minimizing Age of Information under Non-ideal Channel Conditions[J]. Journal of Electronics & Information Technology, 2026, 48(1): 67-77. doi: 10.11999/JEIT250836
Citation: ZHU Kaiji, MA Ruiqian, LIN Zhi, MA Yue, WANG Yong, GUAN Xinrong, CAI Yueming. Short-packet Covert Communication Design for Minimizing Age of Information under Non-ideal Channel Conditions[J]. Journal of Electronics & Information Technology, 2026, 48(1): 67-77. doi: 10.11999/JEIT250836

Short-packet Covert Communication Design for Minimizing Age of Information under Non-ideal Channel Conditions

doi: 10.11999/JEIT250836 cstr: 32379.14.JEIT250836
Funds:  The National Natural Science Foundation of China (62471477 and 62301254), The Natural Science Foundation of Jiangsu Province (BK20230916), The Fundamental Research Funds for the Central Universities (30925010602)
  • Received Date: 2025-09-01
  • Accepted Date: 2026-01-04
  • Rev Recd Date: 2026-01-04
  • Available Online: 2026-01-12
  • Publish Date: 2026-01-30
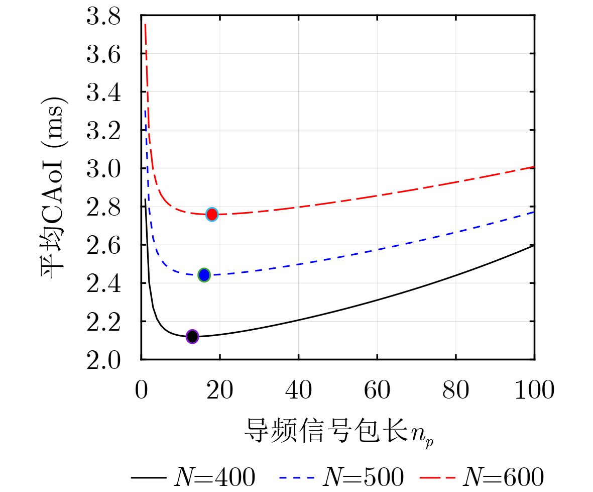
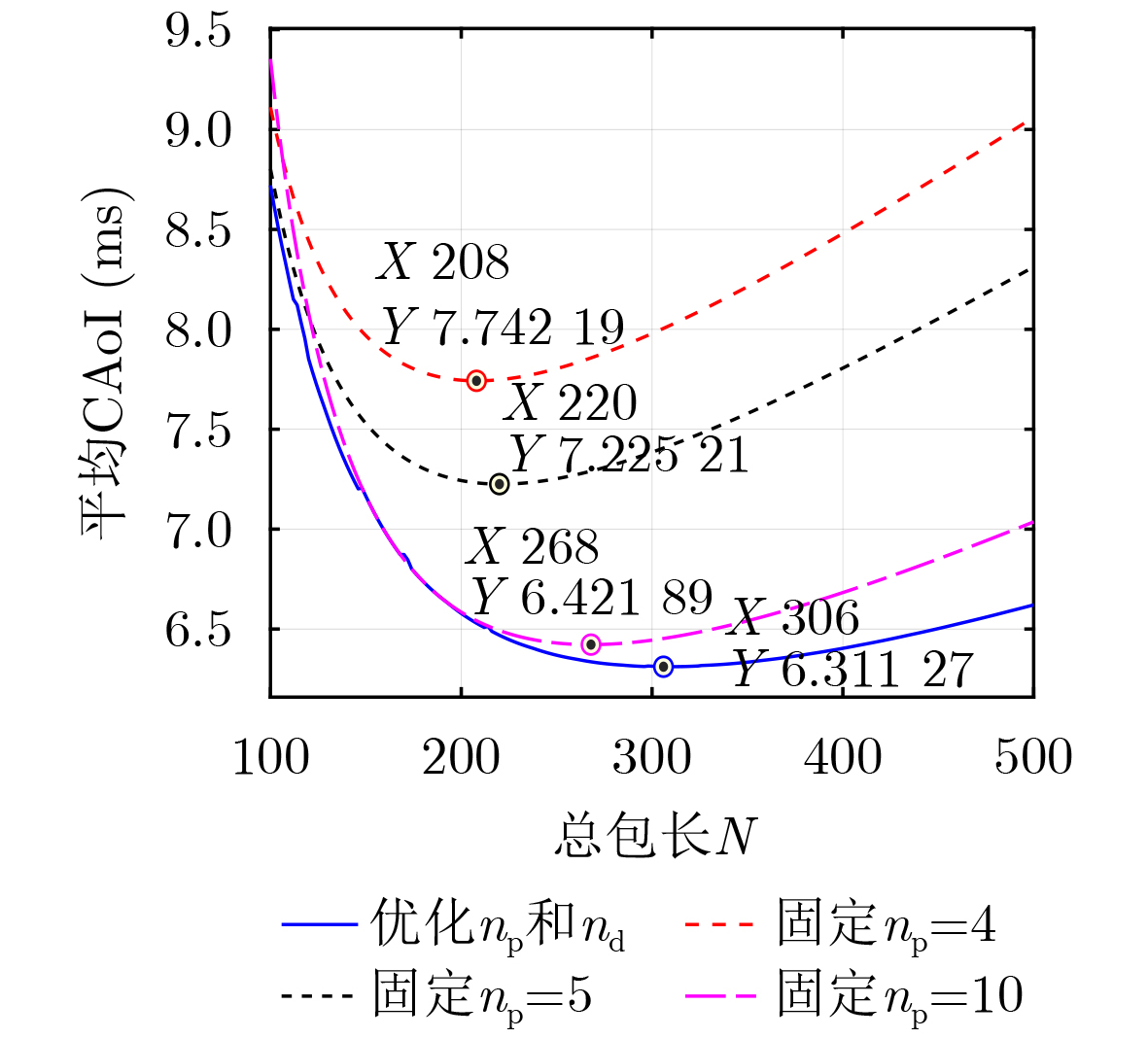
  •   Objective  With the rapid development of mobile communication technologies and the widespread adoption of smart devices, the security and timeliness of information transmission are critical. Most existing studies on covert communication assume ideal channel conditions and long packet lengths, which are impractical for delay-sensitive applications. This paper addresses the problem of minimizing the average Covert Age of Information (CAoI) under non-ideal channel conditions caused by limited pilot symbols. The objective is to improve both timeliness and security in short-packet covert communication systems.  Methods  A system model is considered in which a transmitter sends short packets to a legitimate receiver under the surveillance of a warden. The effects of pilot length and transmit power on channel estimation error are characterized. Based on this analysis, closed-form expressions for the detection error probability and the average CAoI are derived. A joint optimization problem is then formulated to determine the optimal transmit power, total blocklength, and pilot-to-data ratio. This problem is solved using a golden-section search algorithm.  Results and Discussions  Numerical results show that an optimal total packet length and an optimal pilot-to-data ratio exist for minimizing the average CAoI (Fig. 3). The proposed joint optimization strategy significantly outperforms fixed-ratio schemes (Fig. 4). As the covertness constraint becomes stricter, the transmit power decreases, which requires longer pilot sequences to preserve channel estimation accuracy (Fig. 6(a)). The optimal total packet length is also shown to decrease as the covertness constraint is relaxed (Fig. 6(b)). Additionally, increasing the distance between Alice and Bob degrades the average CAoI performance due to poorer channel conditions (Fig. 5).  Conclusions  This study optimizes the average CAoI in short-packet covert communication systems with imperfect channel estimation. Closed-form expressions for covertness and CAoI are obtained, and a golden-section search method is applied to dynamically adjust the packet structure to minimize the average CAoI. Numerical results confirm that the optimized design outperforms fixed-allocation methods. The results further show that stricter covertness constraints require longer pilot sequences to compensate for reduced transmit power, providing useful design guidance for latency-sensitive covert wireless systems.
  • loading
  • [1]
    CHEN Xinying, AN Jianping, XIONG Zehui, et al. Covert communications: A comprehensive survey[J]. IEEE Communications Surveys & Tutorials, 2023, 25(2): 1173–1198. doi: 10.1109/COMST.2023.3263921.
    [2]
    BASH B A, GOECKEL D, and TOWSLEY D. Limits of reliable communication with low probability of detection on AWGN channels[J]. IEEE Journal on Selected Areas in Communications, 2013, 31(9): 1921–1930. doi: 10.1109/JSAC.2013.130923.
    [3]
    TA H Q, PHAM Q V, HO-VAN K, et al. Covert communication with noise and channel uncertainties[J]. Wireless Networks, 2022, 28(1): 161–172. doi: 10.1007/s11276-021-02828-3.
    [4]
    WANG Jianquan, TANG Wanbin, ZHU Qiangqiang, et al. Covert communication with the help of relay and channel uncertainty[J]. IEEE Wireless Communications Letters, 2019, 8(1): 317–320. doi: 10.1109/LWC.2018.2872058.
    [5]
    HU Jinsong, ZHOU Yiting, ZHENG Haifeng, et al. Minimizing vulnerable region for near-field covert communication[J]. IEEE Transactions on Vehicular Technology, 2024, 73(12): 19861–19866. doi: 10.1109/TVT.2024.3443279.
    [6]
    SHAHZAD K, ZHOU Xiangyun, and YAN Shihao. Covert communication in fading channels under channel uncertainty[C]. 2017 IEEE 85th Vehicular Technology Conference, Sydney, Australia, 2017. doi: 10.1109/VTCSpring.2017.8108525.
    [7]
    XU Mengru, SU Yinjie, LIAN Zhuxian, et al. Covert communication with relay selection based on outdated CSI[C]. 2025 6th International Conference on Electrical, Electronic Information and Communication Engineering (EEICE), Shenzhen, China, 2025: 973–979. doi: 10.1109/EEICE65049.2025.11034079.
    [8]
    FU Zhilin, MOON J, HWANG S, et al. Covert communications in multi-antenna two-way relay systems[J]. IEEE Transactions on Vehicular Technology, 2025, 74(9): 14069–14080. doi: 10.1109/TVT.2025.3561872.
    [9]
    吕璐, 郑彭玮, 杨龙, 等. 智能超表面赋能的D2D隐蔽通信策略研究[J]. 电子与信息学报, 2025, 47(7): 2023–2035. doi: 10.11999/JEIT250045.

    LÜ Lu, ZHENG Pengwei, YANG Long, et al. Reconfigurable intelligent surface-empowered covert communication strategies for D2D systems[J]. Journal of Electronics & Information Technology, 2025, 47(7): 2023–2035. doi: 10.11999/JEIT250045.
    [10]
    HUANG Kewen, DENG Hao, and WANG Huiming. Jamming aided covert communication with multiple receivers[J]. IEEE Transactions on Wireless Communications, 2021, 20(7): 4480–4494. doi: 10.1109/TWC.2021.3059306.
    [11]
    FOROUZESH M, AZMI P, MOKARI N, et al. Robust power allocation in covert communication: Imperfect CDI[J]. IEEE Transactions on Vehicular Technology, 2021, 70(6): 5789–5802. doi: 10.1109/TVT.2021.3076709.
    [12]
    FOROUZESH M, AZMI P, KUHESTANI A, et al. Joint information-theoretic secrecy and covert communication in the presence of an untrusted user and warden[J]. IEEE Internet of Things Journal, 2021, 8(9): 7170–7181. doi: 10.1109/JIOT.2020.3038682.
    [13]
    HE Biao, YAN Shihao, ZHOU Xiangyun, et al. On covert communication with noise uncertainty[J]. IEEE Communications Letters, 2017, 21(4): 941–944. doi: 10.1109/LCOMM.2016.2647716.
    [14]
    林钰达, 金梁, 黄开枝, 等. 基于多径信道能量随机动态打散的隐蔽无线通信方案[J]. 电子与信息学报, 2023, 45(2): 505–515. doi: 10.11999/JEIT211396.

    LIN Yuda, JIN Liang, HUANG Kaizhi, et al. Covert wireless communication scheme based on random dynamic diffusion of energy over multipath channel[J]. Journal of Electronics & Information Technology, 2023, 45(2): 505–515. doi: 10.11999/JEIT211396.
    [15]
    YAN Shihao, HE Biao, ZHOU Xiangyun, et al. Delay-intolerant covert communications with either fixed or random transmit power[J]. IEEE Transactions on Information Forensics and Security, 2019, 14(1): 129–140. doi: 10.1109/TIFS.2018.2846257.
    [16]
    SHAHZAD K and ZHOU Xiangyun. Covert wireless communications under quasi-static fading with channel uncertainty[J]. IEEE Transactions on Information Forensics and Security, 2021, 16: 1104–1116. doi: 10.1109/TIFS.2020.3029902.
    [17]
    缪晨, 秦雨萱, 马瑞谦, 等. 时间调制阵列感知辅助的无人机隐蔽通信[J]. 电子与信息学报, 2025, 47(4): 1004–1013. doi: 10.11999/JEIT240606.

    MIAO Chen, QIN Yuxuan, MA Ruiqian, et al. Covert communication of UAV aided by time modulated array perception[J]. Journal of Electronics & Information Technology, 2025, 47(4): 1004–1013. doi: 10.11999/JEIT240606.
    [18]
    KAUL S, GRUTESER M, RAI V, et al. Minimizing age of information in vehicular networks[C]. 2011 8th Annual IEEE Communications Society Conference on Sensor, Mesh and Ad Hoc Communications and Networks, Salt Lake City, USA, 2011: 350–358. doi: 10.1109/SAHCN.2011.5984917.
    [19]
    ZHAO Zhuoyi and KADOTA I. Optimizing age of information without knowing the age of information[C]. IEEE INFOCOM 2025 - IEEE Conference on Computer Communications, London, United Kingdom, 2025: 1–10. doi: 10.1109/INFOCOM55648.2025.11044597.
    [20]
    YANG Weiwei, LU Xingbo, YAN Shihao, et al. Age of information for short-packet covert communication[J]. IEEE Wireless Communications Letters, 2021, 10(9): 1890–1894. doi: 10.1109/LWC.2021.3085025.
    [21]
    马越, 李熙冉, 缪晨, 等. 基于时间调制阵列的隐蔽信息年龄优化方法[P]. 中国, 119341613A, 2025.

    MA Yue, LI Xiran, MIAO Chen, et al. Time-modulated array-based covert age of information optimization method[P]. CN, 119341613A, 2025.
    [22]
    ZENG Wen, FU Shu, and DI Boya. Optimal covert age of information for ARIS-assisted covert communication system[J]. IEEE Wireless Communications Letters, 2025, 14(8): 2277–2281. doi: 10.1109/LWC.2025.3548902.
    [23]
    SUN Linlin, XU Tingzhen, YAN Shihao, et al. On resource allocation in covert wireless communication with channel estimation[J]. IEEE Transactions on Communications, 2020, 68(10): 6456–6469. doi: 10.1109/TCOMM.2020.3009651.
    [24]
    MA Ruiqian, YANG Weiwei, TAO Liwe, et al. Covert communications with randomly distributed wardens in the finite blocklength regime[J]. IEEE Transactions on Vehicular Technology, 2022, 71(1): 533–544. doi: 10.1109/TVT.2021.3128600.
    [25]
    GRADSHTEYN I S and RYZHIK I M. Table of Integrals, Series, and Products[M]. 7th ed. Burlington, USA: Academic, 2007: 21.
    [26]
    LIN Yuda, JIN Liang, HUANG Kaizhi, et al. Multiantenna joint covert communication system with finite blocklength[J]. IEEE Systems Journal, 2023, 17(1): 1170–1180. doi: 10.1109/JSYST.2022.3165055.
  • 加载中

Catalog

    通讯作者: 陈斌, bchen63@163.com
    • 1. 

      沈阳化工大学材料科学与工程学院 沈阳 110142

    1. 本站搜索
    2. 百度学术搜索
    3. 万方数据库搜索
    4. CNKI搜索

    Figures(6)  / Tables(1)

    Article Metrics

    Article views (458) PDF downloads(176) Cited by()
    Proportional views
    Related

    /

    DownLoad:  Full-Size Img  PowerPoint
    Return
    Return