Advanced Search
Turn off MathJax
Article Contents
XIAO Shuyu, SUN Xinghua, YUAN Anshan, ZHAN Wen, CHEN Xiang. Age of Information for Energy Harvesting-Driven LoRa Short-Packet Communication Networks[J]. Journal of Electronics & Information Technology. doi: 10.11999/JEIT250814
Citation: XIAO Shuyu, SUN Xinghua, YUAN Anshan, ZHAN Wen, CHEN Xiang. Age of Information for Energy Harvesting-Driven LoRa Short-Packet Communication Networks[J]. Journal of Electronics & Information Technology. doi: 10.11999/JEIT250814

Age of Information for Energy Harvesting-Driven LoRa Short-Packet Communication Networks

doi: 10.11999/JEIT250814 cstr: 32379.14.JEIT250814
Funds:  Shenzhen Science and Technology Program (CJGJZD20240729142100001), Guangdong Basic and Applied Basic Research Foundation (2025A1515010235, 2024A1515012015)
  • Received Date: 2025-08-28
  • Accepted Date: 2025-12-29
  • Rev Recd Date: 2025-12-29
  • Available Online: 2026-01-04
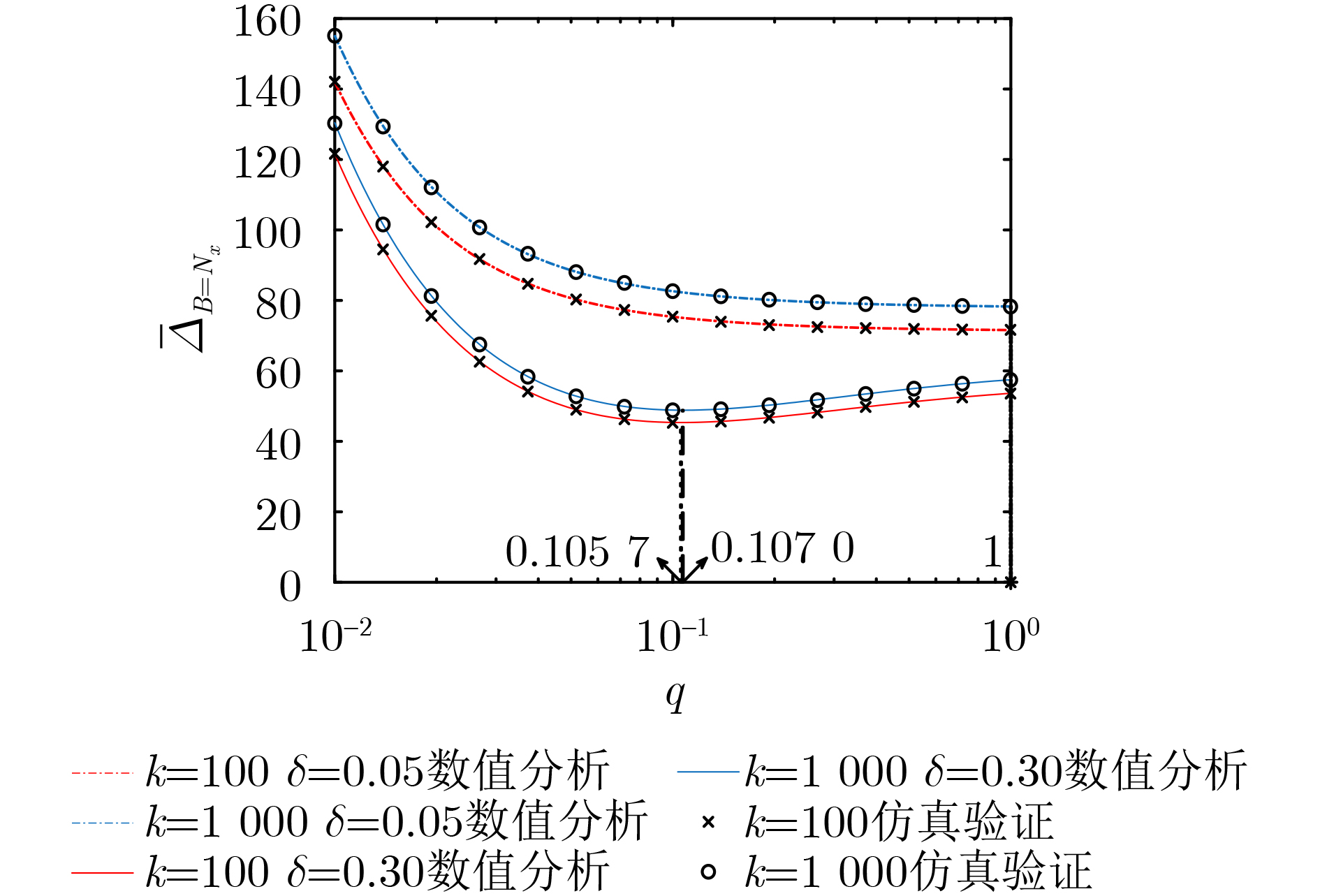
  •   Objective  In short-packet communication scenarios for the Industrial Internet of Things (IIoT), devices operate under stringent energy constraints, whereas certain applications require timely data delivery, which makes real-time performance difficult to guarantee. To address this issue, this study analyzes information freshness in Energy Harvesting (EH) networks and examines the effects of energy storage capacity, random access strategies, and packet block length on the Age of Information (AoI). The objective is to provide effective optimization guidelines for the design of practical IIoT communication systems.  Methods  An accurate system model is established based on short-packet communication theory, random access mechanisms, and EH models. The charging and discharging processes of the energy queue are characterized as a Markov chain, from which the steady-state distribution of energy states is derived, followed by a general expression for the average AoI. A mathematical optimization problem is then formulated to minimize the average AoI. To improve practical applicability, two extreme battery-capacity scenarios are considered. For the minimum battery capacity case, a closed-form analytical solution for the optimal packet generation probability is obtained. For the ideal infinite battery capacity case, the packet generation probability and packet block length are jointly optimized, yielding closed-form optimal solutions for both parameters. Extensive simulations are conducted to evaluate the average AoI under different network parameter settings and to verify the effectiveness of the proposed optimization strategies.  Results and Discussions  An analytical expression for the average AoI is derived, and its optimization is investigated under two extreme battery-capacity conditions. For the minimum battery capacity case, the optimal packet generation probability balances update frequency and channel collision (Fig. 5). As the network size increases, the optimal packet generation probability decreases, which significantly improves the average AoI (Theorem 1; Fig. 6). For the ideal infinite battery capacity case, both packet block length and packet generation probability affect the average AoI (Fig. 7). With a fixed packet generation probability, optimizing the packet block length reduces the AoI, which indicates the existence of an optimal block length that balances transmission reliability and energy consumption. When the packet block length is fixed, a low packet generation probability leads to infrequent updates and increased delay, whereas a high probability increases collision in the Energy-Sufficient Regime (ESR) but enables more efficient utilization of energy and channel resources in the Energy-Limited Regime (ELR). Joint optimization of the packet block length and packet generation probability is consistent with the solution obtained via exhaustive search (Theorem 2; Fig. 8). The optimal packet block length increases with network size. In the ELR, the optimal packet generation probability remains equal to one, whereas it decreases with network size to balance update frequency and collision risk (Fig. 9, Fig. 10). In addition, the average AoI varies with the energy arrival rate, which reveals the effects of battery capacity and packet generation probability on overall system performance (Fig. 11).  Conclusions  For the minimum battery capacity case, the average AoI is minimized when the packet generation probability is set to its theoretical optimal value. Under ideal infinite battery capacity, both the packet generation probability and the packet block length must be jointly configured to their respective theoretical optimal values to achieve the minimum average AoI. Theoretical analysis shows that the selection of the optimal packet block length requires a trade-off between decoding error probability and energy consumption. In the ELR, when the packet block length is preconfigured to its optimal value, an energy buffer supporting a single transmission is sufficient, which allows network nodes to adapt effectively to external energy supply limitations. Network nodes should actively access the channel to fully utilize harvested energy and maintain timely information updates, thereby achieving the optimal average AoI. In contrast, under abundant energy conditions or in large-scale networks, network nodes should adjust the packet generation probability to balance channel collision and update frequency. Simulation results further confirm the proposed optimization strategy and demonstrate that the optimized LoRa network significantly improves information timeliness, which provides theoretical guidance for the design of low-power short-packet communication systems.
  • loading
  • [1]
    ZHAO Fangming, SUN Xinghua, ZHAN Wen, et al. Age-energy tradeoff in random-access Poisson networks[J]. IEEE Transactions on Green Communications and Networking, 2022, 6(4): 2055–2072. doi: 10.1109/TGCN.2022.3210138.
    [2]
    YUAN Anshan, ZHAO Fangming, and SUN Xinghua. Energy-aware random access networks: Connection-based versus packet-based[J]. IEEE Communications Letters, 2024, 28(9): 2216–2220. doi: 10.1109/LCOMM.2024.3432616.
    [3]
    YATES R D and KAUL S K. The age of information: Real-time status updating by multiple sources[J]. IEEE Transactions on Information Theory, 2019, 65(3): 1807–1827. doi: 10.1109/TIT.2018.2871079.
    [4]
    FARAZI S, KLEIN A G, and BROWN D R. Average age of information for status update systems with an energy harvesting server[C]. IEEE Conference on Computer Communications Workshops, Honolulu, USA, 2018: 112–117. doi: 10.1109/INFCOMW.2018.8406846.
    [5]
    XIAO Shuyu, SUN Xinghua, ZHAN Wen, et al. Information freshness in random access networks with energy harvesting[C]. IEEE Information Theory Workshop, Shenzhen, China, 2024: 127–132. doi: 10.1109/ITW61385.2024.10806920.
    [6]
    POLYANSKIY Y, POOR H V, and VERDU S. Channel coding rate in the finite blocklength regime[J]. IEEE Transactions on Information Theory, 2010, 56(5): 2307–2359. doi: 10.1109/TIT.2010.2043769.
    [7]
    DURISI G, KOCH T, ÖSTMAN J, et al. Short-packet communications over multiple-antenna Rayleigh-fading channels[J]. IEEE Transactions on Communications, 2016, 64(2): 618–629. doi: 10.1109/TCOMM.2015.2511087.
    [8]
    XU Shengfeng, CHANG T H, LIN S C, et al. Energy-efficient packet scheduling with finite blocklength codes: Convexity analysis and efficient algorithms[J]. IEEE Transactions on Wireless Communications, 2016, 15(8): 5527–5540. doi: 10.1109/TWC.2016.2561273.
    [9]
    ZHU Yao, HU Yulin, YUAN Xiaopeng, et al. Joint convexity of error probability in blocklength and transmit power in the finite blocklength regime[J]. IEEE Transactions on Wireless Communications, 2023, 22(4): 2409–2423. doi: 10.1109/TWC.2022.3211454.
    [10]
    SUN Xinghua, ZHAN Wen, LIU Weihua, et al. Sum rate and access delay optimization of short-packet aloha[J]. IEEE Open Journal of the Communications Society, 2022, 3: 1501–1514. doi: 10.1109/OJCOMS.2022.3203803.
    [11]
    BELTRAMELLI L, MAHMOOD A, ÖSTERBERG P, et al. LoRa beyond ALOHA: An investigation of alternative random access protocols[J]. IEEE Transactions on Industrial Informatics, 2021, 17(5): 3544–3554. doi: 10.1109/TII.2020.2977046.
    [12]
    HAMDI R, QARAQE M, and ALTHUNIBAT S. Dynamic spreading factor assignment in LoRa wireless networks[C]. 2020 IEEE International Conference on Communications, Dublin, Ireland, 2020: 1–5. doi: 10.1109/ICC40277.2020.9149243.
    [13]
    GHODHBANE R M. Maximization of wireless sensing network’s throughput communicating with long range (LoRa) modulation[C]. IEEE 7th International Conference on Advanced Technologies, Signal and Image Processing, Sousse, Tunisia, 2024: 594–599. doi: 10.1109/ATSIP62566.2024.10638955.
    [14]
    程克非, 陈彩蝶, 罗佳, 等. LoRa网络中基于深度强化学习的信息年龄优化[J]. 电子与信息学报, 2025, 47(2): 541–550. doi: 10.11999/JEIT240404.

    CHENG Kefei, CHEN Caidie, LUO Jia, et al. Optimizing age of information in LoRa networks via deep reinforcement learning[J]. Journal of Electronics & Information Technology, 2025, 47(2): 541–550. doi: 10.11999/JEIT240404.
    [15]
    ZHAO Fangming, PAPPAS N, ZHANG Meng, et al. Age of information in random access networks with energy harvesting[J]. IEEE Journal on Selected Areas in Communications, 2025, 43(11): 3813–3829. doi: 10.1109/JSAC.2025.3584549.
    [16]
    LI Yitong and DAI Lin. Maximum sum rate of slotted aloha with capture[J]. IEEE Transactions on Communications, 2016, 64(2): 690–705. doi: 10.1109/TCOMM.2015.2508930.
  • 加载中

Catalog

    通讯作者: 陈斌, bchen63@163.com
    • 1. 

      沈阳化工大学材料科学与工程学院 沈阳 110142

    1. 本站搜索
    2. 百度学术搜索
    3. 万方数据库搜索
    4. CNKI搜索

    Figures(11)

    Article Metrics

    Article views (100) PDF downloads(7) Cited by()
    Proportional views
    Related

    /

    DownLoad:  Full-Size Img  PowerPoint
    Return
    Return