Advanced Search
Turn off MathJax
Article Contents
WANG Yifan, SUN Shunyuan, QIN Ningning. Spatio-Temporal Constrained Refined Nearest Neighbor Fingerprinting Localization[J]. Journal of Electronics & Information Technology. doi: 10.11999/JEIT250777
Citation: WANG Yifan, SUN Shunyuan, QIN Ningning. Spatio-Temporal Constrained Refined Nearest Neighbor Fingerprinting Localization[J]. Journal of Electronics & Information Technology. doi: 10.11999/JEIT250777

Spatio-Temporal Constrained Refined Nearest Neighbor Fingerprinting Localization

doi: 10.11999/JEIT250777 cstr: 32379.14.JEIT250777
Funds:  The National Natural Science Foundation of China (61773182),A Project Funded by the Priority Academic Program Development of Jiangsu Higher Education Institutions (PAPD)
  • Accepted Date: 2026-01-12
  • Rev Recd Date: 2026-01-12
  • Available Online: 2026-01-27
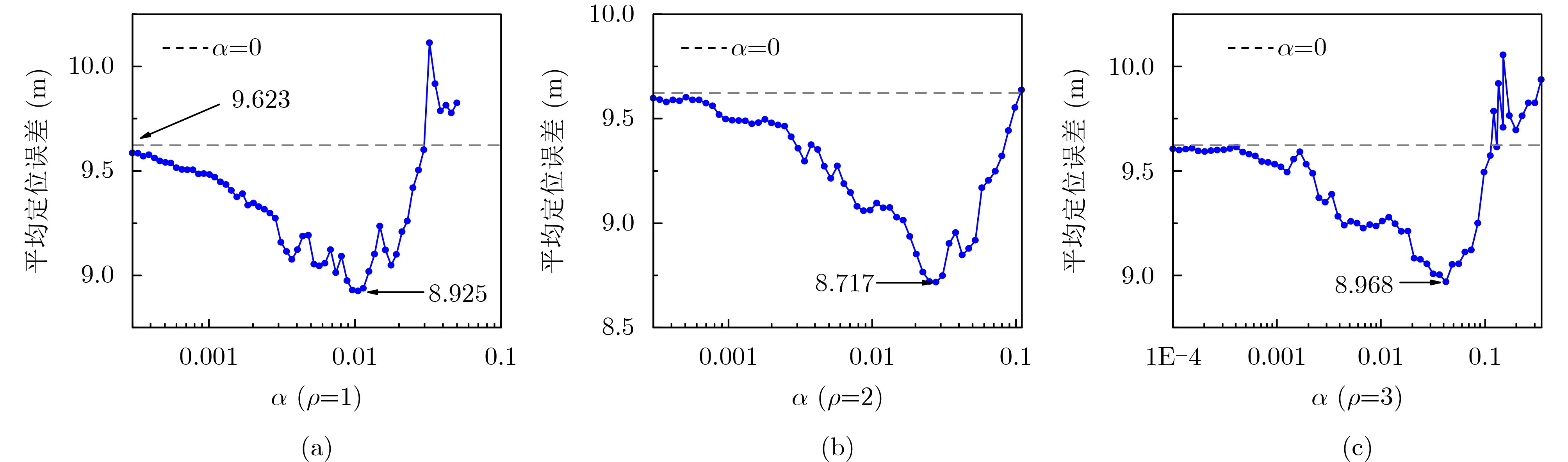
  •   Objective  Indoor fingerprint-based localization confronts three critical challenges. Firstly, dimensionality reduction (DR), commonly employed to reduce storage and computational costs, often disrupts the geometric correlation between signal features and physical space, compromising mapping accuracy. Secondly, signal features exhibit temporal variability due to human movement or environmental dynamics. During online mapping, this variability introduces bias, distorting the representation of similarity between target and reference points in the low-dimensional space. Thirdly, pseudo-neighbor interference persists, where environmental noise or imperfect similarity metrics lead to inaccurate neighbor selection, thereby skewing position estimates. To overcome these limitations, this study proposes a Spatio-Temporal Constrained Refined Nearest Neighbor (STC-RNL) fingerprinting localization algorithm, aiming to achieve robust and high-accuracy localization under complex, real-world interference.  Methods  In the offline phase, a robust DR framework is established by integrating dual constraints into a Multidimensional Scaling (MDS) model. Specifically, a spatial correlation constraint leverages physical distances between reference points, assigning stronger associations to proximate locations to ensure alignment between low-dimensional features and the actual layout. Simultaneously, a temporal consistency constraint clusters multiple temporal signal samples from the same location into a compact region, effectively suppressing feature drift. These constraints, combined with the MDS structure-preserving loss, form the final optimization objective, from which low-dimensional features and an explicit mapping matrix are derived. In the online phase, a progressive refinement mechanism is deployed. An initial candidate set is screened via a Euclidean distance threshold. Subsequently, a hybrid similarity metric is constructed by enhancing shared-neighbor similarity via a Sigmoid-based strategy—which truncates low and smooths high similarities—and then fusing it with Euclidean distance to improve discriminative power for true neighbors. Following this, an iterative Z-score-based filtering strategy is applied to the neighbor set to eliminate outlier reference points that deviate significantly from local group characteristics in both feature and coordinate domains. The final position is estimated through a similarity-weighted average over the refined neighbor set, assigning higher weights to more confident and stable references.  Results and Discussions  The performance of STC-RNL is comprehensively evaluated on a private ITEC dataset and a public SYL dataset. The introduced spatio-temporal constraints significantly enhance the robustness of the derived mapping matrix under noisy conditions (Table 2). Compared to baseline DR methods, the proposed module reduces the mean localization error by at least 6.30% in high-noise scenarios (Fig. 9). In the localization stage, the refined neighbor selection effectively mitigates pseudo-neighbor interference. On the ITEC dataset, STC-RNL achieves an average error of 0.959 m, representing an improvement of 9.61% to 33.68% over SSA-XGBoost and SPSO (Table 3). End-to-end system comparisons show that STC-RNL reduces the average error by at least 12.42% on ITEC and by at least 7.08% on SYL (Table 4), while its CDF curves demonstrate faster convergence and superior precision, particularly within the 1.2 m range (Fig. 10). These results collectively confirm that the algorithm maintains high stability and accuracy, with a notably lower maximum error across datasets.  Conclusions  The STC-RNL algorithm addresses the issues of structural distortion and mapping bias inherent in traditional DR-based localization. By dual-optimizing the offline feature embedding with spatio-temporal constraints and the online neighbor selection with progressive refinement, the coupling between signal features and physical coordinates is substantially strengthened. The core innovation lies in the synergistic framework that ensures only high-confidence neighbors contribute to the final estimate, thereby enhancing accuracy and robustness in dynamic environments. Experimental validations indicate that the model reduces the average localization error by 12.42%–32.80% on ITEC and by 7.08%–13.67% on SYL compared to baseline algorithms, while exhibiting faster error convergence. For future work, incorporating nonlinear manifold modeling is anticipated to further improve performance in heterogeneous access point environments.
  • loading
  • [1]
    FARAHSARI P S, FARAHZADI A, REZAZADEH J, et al. A survey on indoor positioning systems for IoT-based applications[J]. IEEE Internet of Things Journal, 2022, 9(10): 7680–7699. doi: 10.1109/JIOT.2022.3149048.
    [2]
    YANG Yang, CHEN Mingzhe, BLANKENSHIP Y, et al. Positioning using wireless networks: Applications, recent progress, and future challenges[J]. IEEE Journal on Selected Areas in Communications, 2024, 42(9): 2149–2178. doi: 10.1109/JSAC.2024.3423629.
    [3]
    WANG He, WANG Qitong, HUANG Leilei, et al. A PCA acceleration algorithm for WiFi sensing and its hardware implementation[C]. 2024 IEEE International Symposium on Circuits and Systems, Singapore, Singapore, 2024: 1–5. doi: 10.1109/ISCAS58744.2024.10557859.
    [4]
    SONG Qianwen, GUO Songtao, LIU Xing, et al. CSI amplitude fingerprinting-based NB-IoT indoor localization[J]. IEEE Internet of Things Journal, 2018, 5(3): 1494–1504. doi: 10.1109/JIOT.2017.2782479.
    [5]
    YAO Bin, LI Wen, WEI Dongyan, et al. Topology construction based on indoor crowdsourcing data using manifold learning: Evaluation of algorithms and key parameters[C]. 2021 International Conference on Indoor Positioning and Indoor Navigation, loret de Mar, Spain, 2021: 1–8. doi: 10.1109/IPIN51156.2021.9662627.
    [6]
    AYINLA S L, AZIZ A A, and DRIEBERG M. SALLoc: An accurate target localization in WiFi-enabled indoor environments via SAE-ALSTM[J]. IEEE Access, 2024, 12: 19694–19710. doi: 10.1109/ACCESS.2024.3360228.
    [7]
    YANG Haifeng, ZHANG Yongbo, HUANG Yuliang, et al. WKNN indoor location algorithm based on zone partition by spatial features and restriction of former location[J]. Pervasive and Mobile Computing, 2019, 60: 101085. doi: 10.1016/j.pmcj.2019.101085.
    [8]
    SHEN Qiang and CUI Yinghua. WiFi fingerprint correction for indoor localization based on distance metric learning[J]. IEEE Sensors Journal, 2024, 24(21): 36167–36177. doi: 10.1109/JSEN.2024.3462759.
    [9]
    WANG Guanzhong, ZHANG Dongheng, ZHANG Tianyu, et al. Learning domain-invariant model for WiFi-based indoor localization[J]. IEEE Transactions on Mobile Computing, 2024, 23(12): 13898–13913. doi: 10.1109/TMC.2024.3438454.
    [10]
    ZHENG Jin, LI Kailong, and ZHANG Xing. Wi-Fi fingerprint-based indoor localization method via standard particle swarm optimization[J]. Sensors, 2022, 22(13): 5051. doi: 10.3390/s22135051.
    [11]
    刘志平, 李桂南, 余航, 等. 正则化距离准则的Wi-Fi位置指纹室内定位方法[J]. 测绘科学, 2017, 42(12): 185–189,194. doi: 10.16251/j.cnki.1009-2307.2017.12.031.

    LIU Zhiping, LI Guinan, YU Hang, et al. A regularized-distance rule method for Wi-Fi fingerprinting indoor positioning[J]. Science of Surveying and Mapping, 2017, 42(12): 185–189,194. doi: 10.16251/j.cnki.1009-2307.2017.12.031.
    [12]
    WALTER M J, WALKER D J, and CRAVEN M J. Visualizing population dynamics to examine algorithm performance[J]. IEEE Transactions on Evolutionary Computation, 2022, 26(6): 1501–1510. doi: 10.1109/TEVC.2022.3157143.
    [13]
    SUN Liping, BAO Shuting, CI Shang, et al. Differential privacy-preserving density peaks clustering based on shared near neighbors similarity[J]. IEEE Access, 2019, 7: 89427–89440. doi: 10.1109/ACCESS.2019.2927308.
    [14]
    BI Jingxue, WANG Yunjia, YU Baoguo, et al. Supplementary open dataset for WiFi indoor localization based on received signal strength[J]. Satellite Navigation, 2022, 3(1): 25. doi: 10.1186/s43020-022-00086-y.
    [15]
    冷腾飞, 苏圣超. 基于子区域切分与SSA-XGBoost的室内定位方法[J]. 传感技术学报, 2024, 37(5): 833–840. doi: 10.3969/j.issn.1004-1699.2024.05.013.

    LENG Tengfei and SU Shengchao. Indoor localization method based on subspace segmentation and SSA-XGBoost[J]. Chinese Journal of Sensors and Actuators, 2024, 37(5): 833–840. doi: 10.3969/j.issn.1004-1699.2024.05.013.
    [16]
    QIU Wanqing, ZHANG Qingmiao, ZHAO Junhui, et al. Improved PSO-extreme learning machine algorithm for indoor localization[J]. China Communications, 2024, 21(5): 113–122. doi: 10.23919/JCC.fa.2022-0011.202405.
    [17]
    张贺娜, 乐燕芬, 施伟斌. 基于特征降维的核岭回归室内定位算法[J]. 仪器仪表学报, 2020, 41(10): 83–91. doi: 10.19650/j.cnki.cjsi.J2006576.

    ZHANG Hena, LE Yanfen, and SHI Weibin. Kernel ridge regression based indoor location algorithm using feature reduction[J]. Chinese Journal of Scientific Instrument, 2020, 41(10): 83–91. doi: 10.19650/j.cnki.cjsi.J2006576.
    [18]
    李新春, 房梽斅, 张春华. 基于KPCA和改进GBRT的室内定位算法[J]. 传感技术学报, 2019, 32(3): 430–437. doi: 10.3969/j.issn.1004-1699.2019.03.019.

    LI Xinchun, FANG Zhixiao, and ZHANG Chunhua. Indoor positioning algorithm based on KPCA and improved GBRT[J]. Chinese Journal of Sensors and Actuators, 2019, 32(3): 430–437. doi: 10.3969/j.issn.1004-1699.2019.03.019.
    [19]
    GUFRAN D, TIKU S, and PASRICHA S. SANGRIA: Stacked autoencoder neural networks with gradient boosting for indoor localization[J]. IEEE Embedded Systems Letters, 2024, 16(2): 142–145. doi: 10.1109/LES.2023.3279017.
  • 加载中

Catalog

    通讯作者: 陈斌, bchen63@163.com
    • 1. 

      沈阳化工大学材料科学与工程学院 沈阳 110142

    1. 本站搜索
    2. 百度学术搜索
    3. 万方数据库搜索
    4. CNKI搜索

    Figures(10)  / Tables(2)

    Article Metrics

    Article views (40) PDF downloads(9) Cited by()
    Proportional views
    Related

    /

    DownLoad:  Full-Size Img  PowerPoint
    Return
    Return