Advanced Search
Turn off MathJax
Article Contents
CHENG Long, DONG Shaowu, WU Wenjun, GONG Jianjun, WANG Weixiong, GAO Zhe. Band-Limited Signal Compression Enabled Computationally Efficient Software-Defined Radio for Two-Way Satellite Time and Frequency Transfer[J]. Journal of Electronics & Information Technology. doi: 10.11999/JEIT250705
Citation: CHENG Long, DONG Shaowu, WU Wenjun, GONG Jianjun, WANG Weixiong, GAO Zhe. Band-Limited Signal Compression Enabled Computationally Efficient Software-Defined Radio for Two-Way Satellite Time and Frequency Transfer[J]. Journal of Electronics & Information Technology. doi: 10.11999/JEIT250705

Band-Limited Signal Compression Enabled Computationally Efficient Software-Defined Radio for Two-Way Satellite Time and Frequency Transfer

doi: 10.11999/JEIT250705 cstr: 32379.14.JEIT250705
  • Accepted Date: 2025-12-06
  • Rev Recd Date: 2025-12-06
  • Available Online: 2025-12-15
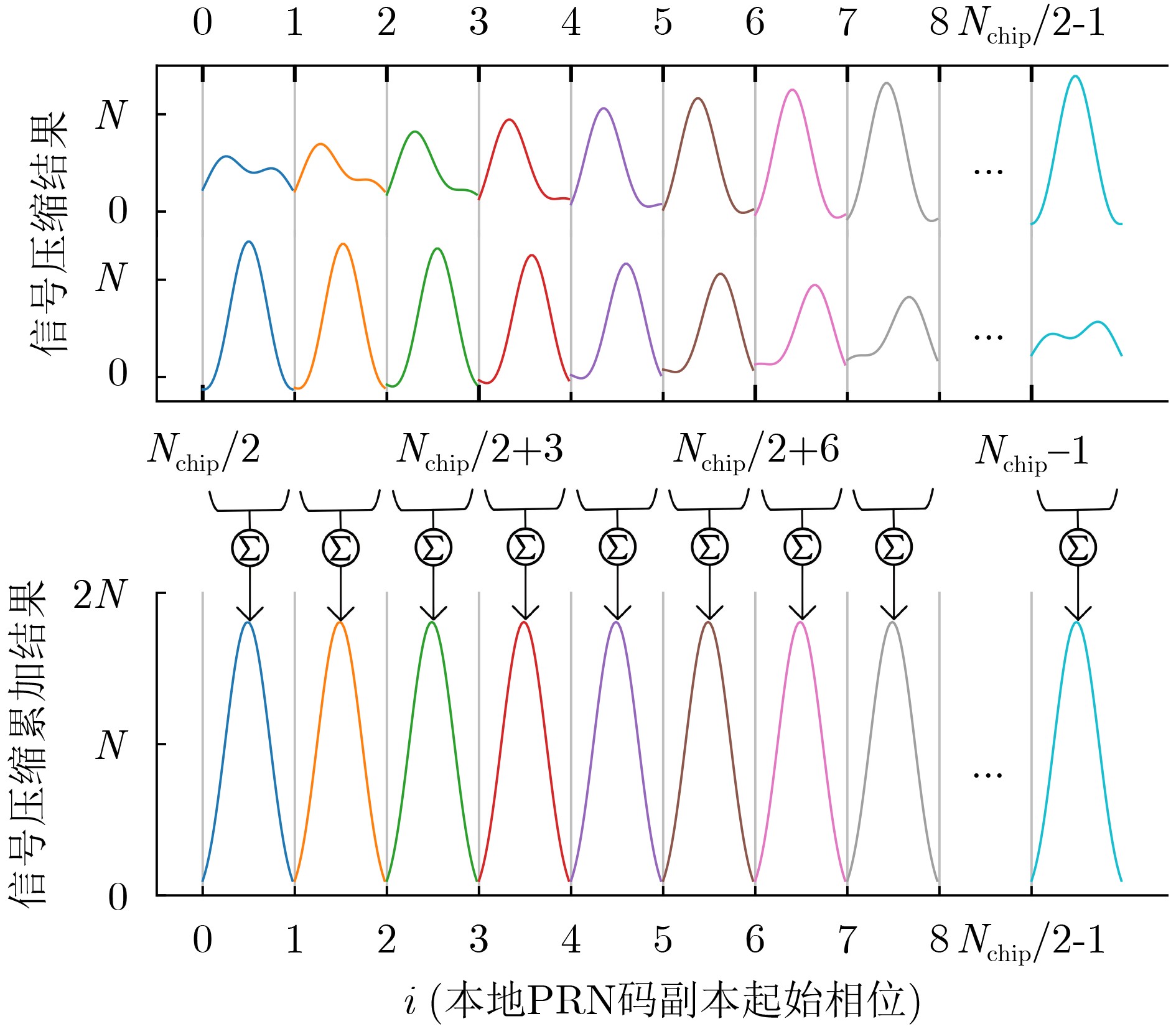
  •   Objective  This study addresses the critical challenges in Two-Way Satellite Time and Frequency Transfer (TWSTFT) systems, particularly focusing on the computational inefficiency and excessive resource consumption of Software-Defined Radio (SDR) receivers. Despite TWSTFT's reputation for exceptional long-term stability and precision in time transfer, traditional hardware-based implementations suffer from significant diurnal effects. Current mitigation strategies, such as data fusion with GPS Precise Point Positioning (PPP), are limited by their reliance on auxiliary link performance and lack of standardized algorithms across international networks. While SDR receivers have proven effective in reducing diurnal effects and improving accuracy, their high sampling rates and complex multi-correlator algorithms impose prohibitive computational demands, hindering real-time multi-station operations. To overcome these limitations, this research introduces an innovative band-limited signal compression method specifically designed for TWSTFT signals. The primary objective is to develop a solution that maintains high measurement resolution while dramatically enhancing computational efficiency, thereby enabling scalable and high-performance time transfer across global timing laboratories. This work holds significant potential to advance TWSTFT technology by addressing current bottlenecks and facilitating more robust international time and frequency transfer.  Methods  The proposed band-limited signal compression method adapts traditional signal compression techniques to TWSTFT by addressing the distortion of pseudo-random noise (PRN) code square-wave characteristics under bandwidth constraints. The method employs the following key technical approach: First, bandwidth-matched filtering is applied to the local PRN code replica to precisely align its spectral characteristics with the effective bandwidth of the received signal, thereby effectively suppressing out-of-band noise interference. For received signals with different bandwidths, the system employs n groups (e.g., n=1, 2, or 20) of phase-diversified, equally-spaced PRN code subsequences. The number of subsequence groups n is strictly determined by the constraint n×Rchip≥ 2×Bandsignal, where Rchip denotes the sampling rate of the subsequences and Bandsignal represents the signal bandwidth. During signal processing, the received signal - after being bandpass-filtered to suppress out-of-band noise - undergoes parallel correlation operations with these phase-diversified PRN code subsequences. The complete correlation function is reconstructed through a linear combination of the n independent correlation results, where each result is scaled by the normalization factor Nchip/n, with Nchip defined as the number of samples per PRN chip. This integrated approach, combined with dynamic optimization through adaptive sampling rate adjustment and efficient resource allocation algorithms, achieves optimal performance while maintaining computational efficiency.  Results and Discussions  The experimental validation was conducted on an advanced TWSTFT platform at the National Time Service Center (NTSC), utilizing data from TWSTFT links (NTSC-NIM, NTSC-SU, NTSC-PTB) and SATRE local-loop tests. Measurement data from MJD 60742 to MJD 60749 were collected following ITU-R TF.1153.4 standards. Results demonstrate significant improvements in both precision and computational efficiency. In local-loop tests, the method achieved the most stable Time of Arrival (TOA) measurements while maintaining high signal-to-noise ratio (Table 2), with time deviation (TDEV) outperforming traditional multi-correlator and conventional compression methods across all averaging periods (Fig. 9). For TWSTFT links, the proposed method demonstrated superior short-term stability in comparisons across different baseline lengths (Fig. 10 and Fig. 11). Configurations with PRN subsequence numbers n=1 and n=2 showed remarkable efficiency improvements, increasing processing speed by 795% and 707% respectively while reducing GPU memory usage by 89.77% and 84.65% (Table 4). The method supports up to 102 concurrent channels (n=1), significantly exceeding the 11-channel capacity of conventional techniques (Table 5). Analysis confirms the optimal balance between performance and efficiency, as increasing the number of PRN subsequences (n) provides no additional precision benefits but increases resource consumption. These advancements are attributed to the parallel processing of short correlations and bandwidth-aware sampling while maintaining measurement accuracy.  Conclusions  This study presents an innovative band-limited signal compression method designed to overcome the computational limitations of traditional TWSTFT systems. The proposed approach integrates parallel short-correlation processing with adaptive bandwidth-aware sampling, achieving significant improvements in both precision and efficiency. Experimental validation confirms the method's superior performance, demonstrating enhanced short-term stability across various signal bandwidths and baseline lengths compared to conventional multi-correlator techniques. Notably, the solution achieves remarkable computational efficiency, with processing speeds increased by 795% (n=1) and 707% (n=2) while reducing GPU memory requirements by 89.77% and 84.65% respectively. The system’s scalability is substantially improved, supporting up to 102 concurrent channels - a nine-fold increase over traditional implementations. These advancements validate the method's optimized balance between performance and resource utilization. Future research directions include adaptation to more complex operational scenarios to further enhance the technology's applicability in global time and frequency transfer networks.
  • loading
  • [1]
    WANG Weixiong, DONG Shaowu, WU Wenjun, et al. Evaluation of Asia-Europe TWSTFT Links using the express-80 satellite[J]. IEEE Instrumentation & Measurement Magazine, 2022, 25(6): 19–24. doi: 10.1109/MIM.2022.9847188.
    [2]
    JIANG Zhiheng, KONATÉ H, and LEWANDOWSKI W. Review and preview of two-way time transfer for UTC generation - from TWSTFT to TWOTFT[C]. Joint European Frequency and Time Forum & International Frequency Control Symposium (EFTF/IFC), Prague, Czech Republic, 2013: 501–504. doi: 10.1109/EFTF-IFC.2013.6702103. (查阅网上资料,未找到标黄作者全称信息,请确认).
    [3]
    王威雄, 董绍武, 武文俊, 等. 基于软件接收机和间接链路的卫星双向时间比对性能分析[J]. 仪器仪表学报, 2019, 40(10): 152–160. doi: 10.19650/j.cnki.cjsi.J1905616.

    WANG Weixiong, DONG Shaowu, WU Wenjun, et al. Performance analysis of two-way satellite time and frequency transfer based on SDR receivers and indirect links[J]. Chinese Journal of Scientific Instrument, 2019, 40(10): 152–160. doi: 10.19650/j.cnki.cjsi.J1905616.
    [4]
    WANG Xiang, DONG Shaowu, SONG Huijie, et al. Time Transfer Link fusion algorithm based on wavelet multi-resolution analysis[J]. Measurement, 2024, 232: 114599. doi: 10.1016/j.measurement.2024.114599.
    [5]
    刘强, 孙浩冉, 胡邓华, 等. 基于Vondrak-Cepek组合滤波和注意力机制加权的时间比对融合算法[J]. 系统工程与电子技术, 2025, 47(2): 673–679. doi: 10.12305/j.issn.1001-506X.2025.02.34.

    LIU Qiang, SUN Haoran, HU Denghua, et al. Time alignment fusion algorithm based on Vondrak-Cepek combined filtering and attention mechanism weighting[J]. Systems Engineering and Electronics, 2025, 47(2): 673–679. doi: 10.12305/j.issn.1001-506X.2025.02.34.
    [6]
    PANFILO G and ARIAS F. The coordinated universal time (UTC)[J]. Metrologia, 2019, 56(4): 042001. doi: 10.1088/1681-7575/ab1e68.
    [7]
    BIPM. Two-way satellite time and frequency transfer: First use of a software defined radio receiver in UTC calculation[EB/OL]. https://www.bipm.org/en/-/2020-twstft-sdr, 2025.
    [8]
    SICCARDI M, THAI T T, ROVERA D G, et al. A TWSTFT transmitter prototype compatible with SDR receivers and SATRE modems[C]. Joint Conference of the IEEE International Frequency Control Symposium and International Symposium on Applications of Ferroelectrics (IFCS-ISAF), Keystone, USA, 2020: 1–3. doi: 10.1109/IFCS-ISAF41089.2020.9234873.
    [9]
    FRIEDT J M, LOURS M, GOAVEC-MEROU G, et al. Development of an opensource, Openhardware, software-defined radio platform for two-way satellite time and frequency transfer[C]. 2023 Joint Conference of the European Frequency and Time Forum and IEEE International Frequency Control Symposium (EFTF/IFCS), Toyama, Japan, 2023: 1–4. doi: 10.1109/EFTF/IFCS57587.2023.10272067.
    [10]
    ACHKAR J, MEYER É, CHUPIN B, et al. Two-way satellite time and frequency transfer using an opensource, Openhardware software-defined radio platform[C]. 4th URSI Atlantic Radio Science Meeting (AT-RASC), Gran Canaria, Spain, 2024: 1–4. doi: 10.46620/URSIATRASC24/ZXOX6507.
    [11]
    LEE J, OH J I, CHOI G W, et al. Truncated M-sequence and BOC modulation based ranging signal design for TWSTFT[C]. Conference on Precision Electromagnetic Measurements (CPEM), Denver, USA, 2024: 1–2. doi: 10.1109/CPEM61406.2024.10646003.
    [12]
    WEILL L R. Theory and applications of signal compression in GNSS receivers[C]. Proceedings of the 20th International Technical Meeting of the Satellite Division of The Institute of Navigation, Fort Worth, USA, 2007: 708–719.
    [13]
    WANG Xiang, GAO Yang, CUI Xiaowei, et al. A signal quality monitoring algorithm based on chip domain observables for BDS B1C signal[C]. International Technical Meeting of the Institute of Navigation, San Diego, USA, 2021: 149–161. doi: 10.33012/2021.17810. (查阅网上资料,未找到本条文献出版地信息,请确认).
    [14]
    WANG Xiang, CUI Xiaowei, LIU Gang, et al. Signal quality monitoring based on chip domain observables: Theory, design, and implementation[J]. NAVIGATION: Journal of the Institute of Navigation, 2022, 69(4): navi. 543. doi: 10.33012/navi.543.
    [15]
    WANG Chuanrui, WANG Xiang, CUI Xiaowei, et al. Efficient chip-shape correlator implementation on a GPU-based real-time GNSS SDR receiver[J]. GPS Solutions, 2022, 26(4): 143. doi: 10.1007/s10291-022-01332-1.
    [16]
    JIANG Zhiheng, ZHANG V, HUANG Y J, et al. Use of software-defined radio receivers in two-way satellite time and frequency transfers for UTC computation[J]. Metrologia, 2018, 55(5): 685–698. doi: 10.1088/1681-7575/aacbe6.
    [17]
    王威雄, 董绍武, 武文俊, 等. 卫星双向时间传递链路校准及其不确定度分析[J]. 仪器仪表学报, 2018, 39(12): 64–72. doi: 10.19650/j.cnki.cjsi.J1803688.

    WANG Weixiong, DONG Shaowu, WU Wenjun, et al. Link calibration of two-way satellite time and frequency transfer and its uncertainty analysis[J]. Chinese Journal of Scientific Instrument, 2018, 39(12): 64–72. doi: 10.19650/j.cnki.cjsi.J1803688.
    [18]
    HUANG Y J, FUJIEDA M, TAKIGUCHI H, et al. Stability improvement of an operational two-way satellite time and frequency transfer system[J]. Metrologia, 2016, 53(2): 881–890. doi: 10.1088/0026-1394/53/2/881.
    [19]
    QI Yunhan, YAO Zheng, and LU Mingquan. General design methodology of code multi-correlator discriminator for GNSS multi-path mitigation[J]. IET Radar, Sonar & Navigation, 2021, 15(9): 969–984. doi: 10.1049/rsn2.12088.
    [20]
    SIEBERT C, KONOVALTSEV A, and MEURER M. Development and validation of a multipath mitigation technique using multi-correlator structures[J]. NAVIGATION: Journal of the Institute of Navigation, 2023, 70(4): navi. 609. doi: 10.33012/navi.609.
    [21]
    GAO Zhe, WANG Weixiong, WU Wenjun, et al. Experiment of Asia-Europe TWSTFT Link using new satellite express-80[C]. 2024 IEEE Ultrasonics, Ferroelectrics, and Frequency Control Joint Symposium, Taipei, China, 2024: 1–4. doi: 10.1109/UFFC-JS60046.2024.10793506.
  • 加载中

Catalog

    通讯作者: 陈斌, bchen63@163.com
    • 1. 

      沈阳化工大学材料科学与工程学院 沈阳 110142

    1. 本站搜索
    2. 百度学术搜索
    3. 万方数据库搜索
    4. CNKI搜索

    Figures(11)  / Tables(5)

    Article Metrics

    Article views (21) PDF downloads(8) Cited by()
    Proportional views
    Related

    /

    DownLoad:  Full-Size Img  PowerPoint
    Return
    Return