Advanced Search
Volume 47 Issue 11
Nov.  2025
Turn off MathJax
Article Contents
AN Xinlei, LI Zhifu, XUE Rui, XIONG Li, ZHANG Li. Construction of Multi-Scroll Conservative Chaotic System and Its Application in Image Encryption[J]. Journal of Electronics & Information Technology, 2025, 47(11): 4470-4481. doi: 10.11999/JEIT250432
Citation: AN Xinlei, LI Zhifu, XUE Rui, XIONG Li, ZHANG Li. Construction of Multi-Scroll Conservative Chaotic System and Its Application in Image Encryption[J]. Journal of Electronics & Information Technology, 2025, 47(11): 4470-4481. doi: 10.11999/JEIT250432

Construction of Multi-Scroll Conservative Chaotic System and Its Application in Image Encryption

doi: 10.11999/JEIT250432 cstr: 32379.14.JEIT250432
Funds:  The National Natural Science Foundation of China (62461022), The Natural Science Foundation of Gansu (23JRRA861, 24JRRA291), Gansu Provincial Key Research and Development Project (24YFGA040), The Innovation Fund Project for University Teachers in Gansu Province (2025A-234), The Foundation for Innovative Fundamental Research Group Project of Gansu Province (25JRRA805)
  • Received Date: 2025-05-19
  • Rev Recd Date: 2025-09-28
  • Available Online: 2025-10-11
  • Publish Date: 2025-11-10
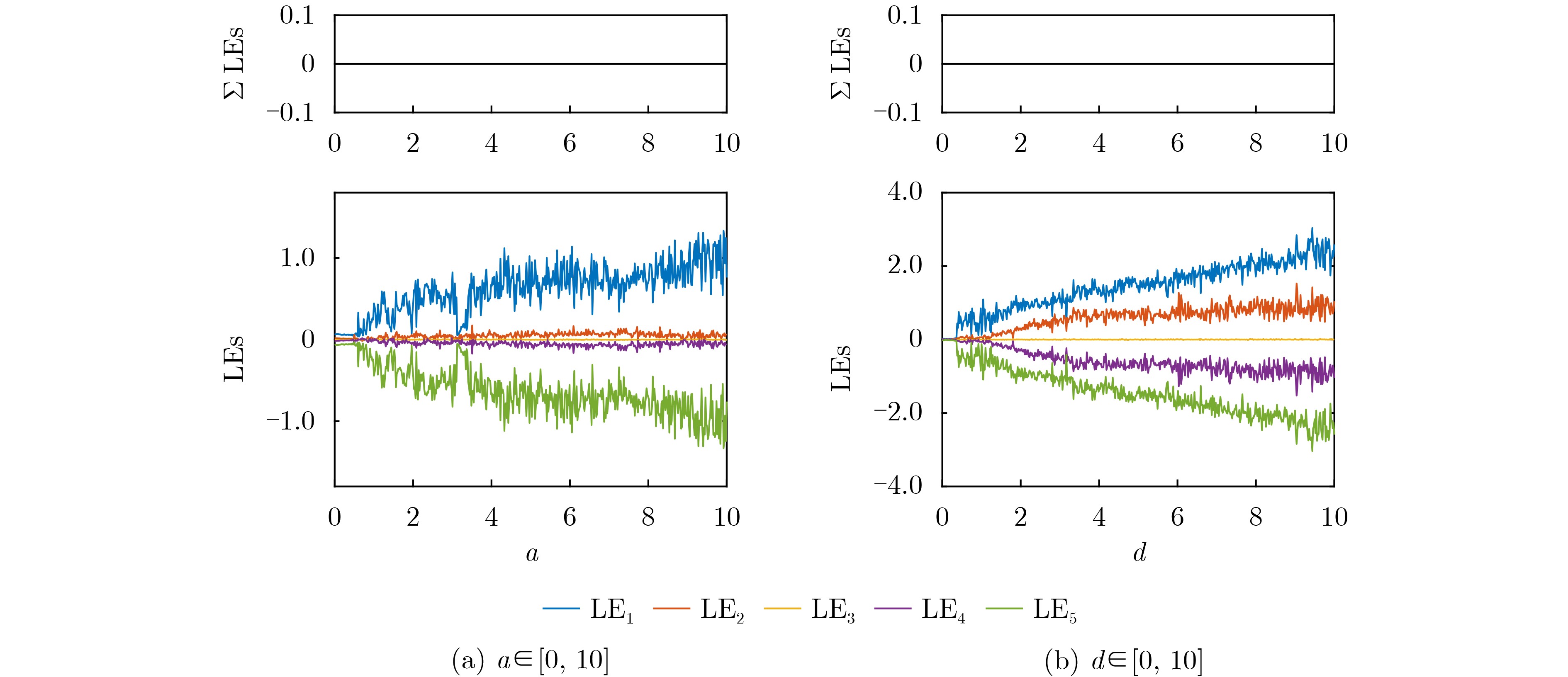
  •   Objective  Existing conservative chaotic systems often suffer from structural simplicity and weak nonlinear characteristics, and research on complex dynamical behaviors such as multi-scroll structures remains limited, constraining their potential in engineering applications. To address security risks in face image transmission and the inefficiency of traditional global encryption methods, this study constructs a conservative chaotic system with multi-scroll characteristics, investigates its complex dynamical behavior, and designs a face-detection-based selective image encryption algorithm targeting sensitive regions. The work explores the practical application of conservative chaotic systems in image encryption.  Methods  A five-dimensional conservative hyperchaotic system is constructed on the basis of the generalized Hamiltonian system, and the controlled generation of multi-scroll chaotic flows is achieved through modulation of the Hamiltonian energy function. The Hessian matrix is used to analyze the stationary points of the Hamiltonian energy function, thereby revealing the relationship between scroll structures and stationary points. The spatial distribution of multi-scroll chaotic flows is further characterized by energy isosurfaces. The complex dynamical behaviors of the proposed system are investigated using Lyapunov exponent spectra and phase diagrams, while the sequence complexity is evaluated with the SE complexity algorithm. On this basis, an image encryption algorithm integrated with face detection technology is designed. The algorithm applies a diffusion-scrambling strategy to selectively encrypt facial regions. The security performance is evaluated through multiple indicators, including key space, pixel correlation, and information entropy.  Results and Discussions  Analysis of stationary points in the Hamiltonian energy function revealed a positive correlation between their number and scroll generation. Extreme points primarily drive scroll formation, whereas saddle points define transition zones, indicating that the scroll structure can be effectively regulated through the Hamiltonian energy function. The Lyapunov exponent spectrum of the multi-scroll conservative chaotic system is distributed symmetrically about the x-axis and exhibits an integer Lyapunov dimension, fully confirming the system’s volume-conserving property. Under different initial conditions, the system demonstrates diverse coexistence behaviors, including phase trajectories of varying types and scales. Complexity evaluation further showed that the multi-scroll conservative chaotic system achieves markedly higher spectral entropy complexity, supporting its potential for image encryption applications. Experimental validation demonstrated that the proposed algorithm can accurately detect faces and selectively encrypt sensitive regions, thereby avoiding the computational inefficiency of indiscriminate global encryption. Moreover, the algorithm exhibited strong performance across multiple security metrics.  Conclusions  A conservative chaotic system is constructed on the basis of the generalized Hamiltonian system, and its complex dynamical behavior and application in image encryption are investigated. The study provides theoretical references for the generation of multi-scroll conservative chaotic flows and offers practical guidance for the application of image encryption technology.
  • loading
  • [1]
    LORENZ E N. Deterministic nonperiodic flow[J]. Journal of the Atmospheric Sciences, 1963, 20(2): 130–141. doi: 10.1175/1520-0469(1963)020<0130:DNF>2.0.CO;2.
    [2]
    LIU Siyang, AN Xinlei, WANG Yue, et al. Design of a new multi-wing chaotic system and its application in color image encryption[J]. Optik, 2023, 290: 171334. doi: 10.1016/j.ijleo.2023.171334.
    [3]
    ZHOU Nanrun, HU Longlong, HUANG Zhiwen, et al. Novel multiple color images encryption and decryption scheme based on a bit-level extension algorithm[J]. Expert Systems with Applications, 2024, 238: 122052. doi: 10.1016/j.eswa.2023.122052.
    [4]
    DENG Quanli, WANG Chunhua, YANG Gang, et al. Discrete memristive delay feedback rulkov neuron model: Chaotic dynamics, hardware implementation, and application in secure communication[J]. IEEE Internet of Things Journal, 2025, 12(13): 25559–25567. doi: 10.1109/JIOT.2025.3558963.
    [5]
    DENG Quanli, WANG Chunhua, SUN Yichuang, et al. Delay difference feedback memristive map: Dynamics, hardware implementation, and application in path planning[J/OL]. IEEE Transactions on Circuits and Systems I: Regular Papers, 2025. doi: 10.1109/tcsi.2025.3571961.
    [6]
    GAO Xinyu, MOU Jun, BANERJEE S, et al. Color-gray multi-image hybrid compression–encryption scheme based on BP neural network and knight tour[J]. IEEE Transactions on Cybernetics, 2023, 53(8): 5037–5047. doi: 10.1109/tcyb.2023.3267785.
    [7]
    ZHOU Shuang, QIU Yuyu, QI Guoyuan, et al. A new conservative chaotic system and its application in image encryption[J]. Chaos, Solitons & Fractals, 2023, 175: 113909. doi: 10.1016/j.chaos.2023.113909.
    [8]
    LIU Xilin, TONG Xiaojun, ZHANG Miao, et al. A highly secure image encryption algorithm based on conservative hyperchaotic system and dynamic biogenetic gene algorithms[J]. Chaos, Solitons & Fractals, 2023, 171: 113450. doi: 10.1016/j.chaos.2023.113450.
    [9]
    HÉNON M and HEILES C. The applicability of the third integral of motion: Some numerical experiments[J]. The Astronomical Journal, 1964, 69(1): 73–79. doi: 10.1086/109234.
    [10]
    SPROTT J C. Some simple chaotic flows[J]. Physical Review E, 1994, 50(2): R647–R650. doi: 10.1103/physreve.50.r647.
    [11]
    仓诗建. 基于哈密顿能量函数的混沌系统构造与动力学分析[D]. [博士论文], 天津大学, 2018. doi: 10.27356/d.cnki.gtjdu.2018.000273.

    CANG Shijian. Construction and dynamics analysis of chaotic systems using Hamiltonian method[D]. [Ph. D. dissertation], Tianjin University, 2018. doi: 10.27356/d.cnki.gtjdu.2018.000273.
    [12]
    DONG Enzeng, YUAN Mingfeng, DU Shengzhi, et al. A new class of Hamiltonian conservative chaotic systems with multistability and design of pseudo-random number generator[J]. Applied Mathematical Modelling, 2019, 73: 40–71. doi: 10.1016/j.apm.2019.03.037.
    [13]
    QI Guoyuan, HU Jianbing, and WANG Ze. Modeling of a Hamiltonian conservative chaotic system and its mechanism routes from periodic to quasiperiodic, chaos and strong chaos[J]. Applied Mathematical Modelling, 2020, 78: 350–365. doi: 10.1016/j.apm.2019.08.023.
    [14]
    JI’E Musha, YAN Dengwei, SUN Shuqi, et al. A simple method for constructing a family of Hamiltonian conservative chaotic systems[J]. IEEE Transactions on Circuits and Systems I: Regular Papers, 2022, 69(8): 3328–3338. doi: 10.1109/tcsi.2022.3172313.
    [15]
    DENG Quanli, WANG Chunhua, SUN Yichuang, et al. Discrete memristive conservative chaotic map: Dynamics, hardware implementation, and application in secure communication[J]. IEEE Transactions on Cybernetics, 2025, 55(8): 3926–3934. doi: 10.1109/TCYB.2025.3565333.
    [16]
    刘思洋, 安新磊, 施倩倩, 等. 一类多涡卷Chua系统及其在图像加密中的应用[J]. 复杂系统与复杂性科学, 2024, 21(3): 85–92. doi: 10.13306/j.1672-3813.2024.03.012.

    LIU Siyang, AN Xinlei, SHI Qianqian, et al. A multi-scroll Chua system and its application in image encryption[J]. Complex Systems and Complexity Science, 2024, 21(3): 85–92. doi: 10.13306/j.1672-3813.2024.03.012.
    [17]
    ZHANG Jie, ZUO Jiangang, WANG Meng, et al. Design and application of multiscroll chaotic attractors based on a novel multi-segmented memristor[J]. Chaos, Solitons & Fractals, 2024, 181: 114676. doi: 10.1016/j.chaos.2024.114676.
    [18]
    YU Guofeng, FAN Chunlei, XI Jiale, et al. Design and FPGA implementation of nested grid multi-scroll chaotic system[J]. Journal of King Saud University-Computer and Information Sciences, 2024, 36(8): 102186. doi: 10.1016/j.jksuci.2024.102186.
    [19]
    ZHANG Lishuang, LI Zhijun, and PENG Yuexi. A hidden grid multi-scroll chaotic system coined with two multi-stable memristors[J]. Chaos, Solitons & Fractals, 2024, 185: 115109. doi: 10.1016/j.chaos.2024.115109.
    [20]
    DING Pengfei, ZHU Jingge, and ZHANG Juan. A four-dimensional no-equilibrium chaotic system with multi-scroll chaotic hidden attractors and its application in image encryption[J]. Physica Scripta, 2024, 99(10): 105211. doi: 10.1088/1402-4896/ad7237.
    [21]
    吉俄木沙. 保守混沌系统的复杂动力学研究与电路实现[D]. [博士论文], 西南大学, 2024. doi: 10.27684/d.cnki.gxndx.2024.000011.

    JI’E Musha. Complex dynamics research and circuit implementation of conservative chaotic systems[D]. [Ph. D. dissertation], Southwest University, 2024. doi: 10.27684/d.cnki.gxndx.2024.000011.
    [22]
    DEMIRTAŞ M. A novel multiple grayscale image encryption method based on 3D bit-scrambling and diffusion[J]. Optik, 2022, 266: 169624. doi: 10.1016/j.ijleo.2022.169624.
    [23]
    ZHANG Chenjun, FAN Haiju, ZHANG Mingzhu, et al. Plaintext-related image encryption scheme without additional plaintext based on 2DCS[J]. Optik, 2023, 272: 170312. doi: 10.1016/j.ijleo.2022.170312.
    [24]
    WANG Xingyuan, CHEN Xuan, FENG Sijia, et al. Color image encryption scheme combining cross-plane Zigzag scrambling and pseudo-random combination RGB component diffusion[J]. Optik, 2022, 269: 169933. doi: 10.1016/j.ijleo.2022.169933.
    [25]
    WU Xin, SHI Hang, JI’E Musha, et al. A novel image compression and encryption scheme based on conservative chaotic system and DNA method[J]. Chaos, Solitons & Fractals, 2023, 172: 113492. doi: 10.1016/j.chaos.2023.113492.
    [26]
    LONG Bofeng, CHEN Zhong, LIU Tongzhe, et al. A novel medical image encryption scheme based on deep learning feature encoding and decoding[J]. IEEE Access, 2024, 12: 38382–38398. doi: 10.1109/ACCESS.2024.3371888.
    [27]
    KUMAR K, ROY S, RAWAT U, et al. IEHC: An efficient image encryption technique using hybrid chaotic map[J]. Chaos, Solitons & Fractals, 2022, 158: 111994. doi: 10.1016/j.chaos.2022.111994.
    [28]
    HOSNY K M, ZAKI M A, HAMZA H M, et al. Privacy protection in surveillance videos using block scrambling-based encryption and DCNN-based face detection[J]. IEEE Access, 2022, 10: 106750–106769. doi: 10.1109/access.2022.3211657.
    [29]
    GAO Suo, WU Rui, WANG Xingyuan, et al. EFR-CSTP: Encryption for face recognition based on the chaos and semi-tensor product theory[J]. Information Sciences, 2023, 621: 766–781. doi: 10.1016/j.ins.2022.11.121.
    [30]
    ROTHE R, TIMOFTE R, and VAN GOOL L. Deep expectation of real and apparent age from a single image without facial landmarks[J]. International Journal of Computer Vision, 2018, 126(2/4): 144–157. doi: 10.1007/s11263-016-0940-3.
  • 加载中

Catalog

    通讯作者: 陈斌, bchen63@163.com
    • 1. 

      沈阳化工大学材料科学与工程学院 沈阳 110142

    1. 本站搜索
    2. 百度学术搜索
    3. 万方数据库搜索
    4. CNKI搜索

    Figures(13)  / Tables(7)

    Article Metrics

    Article views (490) PDF downloads(52) Cited by()
    Proportional views
    Related

    /

    DownLoad:  Full-Size Img  PowerPoint
    Return
    Return